Test de Calculo II

Description

CALCULO II Quiz on Test de Calculo II, created by Erika Carolina Chuncha Ashqui on 13/06/2017.
Erika Carolina Chuncha Ashqui
Quiz by Erika Carolina Chuncha Ashqui, updated more than 1 year ago
Erika Carolina Chuncha Ashqui
Created by Erika Carolina Chuncha Ashqui over 8 years ago
141
0

Resource summary

Question 1

Question
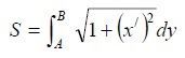
Seleccione la fórmula para encontrar la longitud de arco de una curva.

Question 2

Question
Dada las siguientes funciones y=X^2 ^ y-=x+2 ; deducir la fórmula de la longitud de arco y seleccionar la respuesta correcta.
Answer

Question 3

Question
La teoría de integración permite el cálculo de áreas bajo la curva como un método alternativo no preciso.
Answer
  • True
  • False

Question 4

Question
Si el resultado encontrado es positivo el área está ubicada en un cuadrante positivo, o sobre el eje de las x, cuando el resultado es negativo al área está ubicada bajo el [blank_start]eje de las x[blank_end].
Answer
  • eje de las x

Question 5

Question
Integral definida.- La integral definida es un valor resultante de la [blank_start]suma[blank_end] de valores infinitamente pequeños este concepto aplicado al concepto de áreas nos indica que la integral definida considerada como el área bajo la curva es el límite cuando x tiende a cero.
Answer
  • suma
  • resta
  • derivación
  • multiplicación

Question 6

Question
INTEGRAL IMPROPIA Se le da esta denominación a aquellas integrales cuyos límites son [blank_start]infinitos[blank_end], en estos casos se propone para su solución la aplicación de los conceptos de límites.
Answer
  • finitos
  • infinitos
  • trigonométricos
  • laterales

Question 7

Question
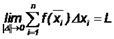
Escriba las partes que se encuentran marcadas con un punto de la integral definida que se muestra en la imagen a continuación:
Image:
T (image/png)
Answer
  • límite superios
  • límite inferior
  • función
  • Integral
  • diferencial

Question 8

Question
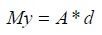
Escriba el nombre de cada una de las variables d la formula que se muestra a continuación:
Answer
  • Momento en X
  • Momento
  • Momento en y
  • área lateral en x
  • área lateral en y
  • área de la función
  • distancia
  • Longitud
  • derivada de la función
Show full summary Hide full summary

Similar

ÁREAS FUNCIONALES DE UNA EMPRESA
Octavio Rangel Vazquez
Fisioterapia
almekahe96
polígonos
albertogil24
Mesoamérica
Mauricio Molina
Psicólogo en el contexto del trabajo.
sindy mishel ortiz acosta
INGENIERÍA CIVIL
Ingrid Sarmiento
Gestion eduactiva
Josiani Arteaga Morales
Prueba N° 5 " Área y volumen de cono. Homotecias"
Alondra Alvarado
Adquisición del conocimiento
Valentina ZV
CALCULO DE AREAS Y PERIMETROS DE CUADRILATEROS
PROF:GRETTEL_ MATE
AREAS QUE INTERVIENEN EN EL SISTEMA DE COMPRAS
WILSON MOTATO