null
US
Sign In
Sign Up for Free
Sign Up
We have detected that Javascript is not enabled in your browser. The dynamic nature of our site means that Javascript must be enabled to function properly. Please read our
terms and conditions
for more information.
Next up
Copy and Edit
You need to log in to complete this action!
Register for Free
7239843
FORMA PENDIENTE Y ORDENADA EN EL ORIGEN.
Description
FORMA PENDIENTE Y ORDENADA EN EL ORIGEN.
No tags specified
forma
pendiente
ordenada
origen
segundo
Flowchart by
Mariana Yautentzi
, updated more than 1 year ago
More
Less
Created by
Mariana Yautentzi
almost 9 years ago
45
0
0
Resource summary
Flowchart nodes
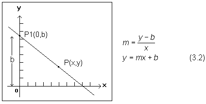
Forma pendiente y ordenada en el origen
B es la ordenada cuando en la ecuación general se despeja Y.
M es la pendiente
Y se representa por el término que acompaña a X en la ecuación despejada
9e6bcbf5-df77-45c8-8272-d0126c2ba72d.gif (image/gif)
Y no puede quedar negativo.SÍ M es fracción y B es entero se tienen que multiplicar.
Show full summary
Hide full summary
Want to create your own
Flowcharts
for
free
with GoConqr?
Learn more
.
Similar
Origen de la Filosofía: El paso del Mito al Logos
maya velasquez
Músculos del Cuello
Javier Andrés Troncoso Bichara
Formas de una función cuadrática
HECTOR ESPINOZA HERNANDEZ
MÚSCULOS DE MIEMBRO INFERIOR
sarai palque santos
MAPA MENTAL ORIGEN Y DESARROLLO DE LA SOCIOLOGIA
Martha Isabel Barrera Medina
Músculos de Cabeza
Enzo Veracierta Pulone
FUNCION CUADRATICA
HECTOR ESPINOZA HERNANDEZ
ORIGEN Y EVOLUCIÓN DEL HOMBRE Variación, adaptación y cambio.
anaika arevalo
Músculos Faciales
Javier Andrés Troncoso Bichara
Origen y Desarrollo de la Sociología
l.johanna revelo bryan
El origen de la filosofía
Sandra Vallejo Correa
Browse Library