Números enteros

Description

Presentación de números enteros
Andrés Cazares
Slide Set by Andrés Cazares, updated more than 1 year ago
Andrés Cazares
Created by Andrés Cazares about 8 years ago
741
0

Resource summary

Slide 1

    Definición de números enteros
    Caption: : Qué son los números enteros?
    Un número entero es cualquier elemento del conjunto formado por los números naturales, sus opuestos (versiones negativas de los naturales) y el cero. Estos son: Los naturales (o enteros positivos): +1, +2, +3, +4, +5... El cero, que no es ni positivo ni negativo. Los enteros negativos: -1, -2, -3, -4, -5... El conjunto de los enteros se designa por Z, (nótese que no es una Z). En notación matemática: 

Slide 2

    SUMA DE NÚMEROS ENTEROS
    Caption: : Suma de Números Positivos y Negativos
    Una resta de números enteros se puede resolver como si se tratara de una suma, pero con una particularidad: El símbolo de la resta le cambia el signo a la cifra que le sigue, por lo que: Si el número que se resta es positivo lo convierte en negativo. Si el número que se resta es negativo lo convierte en positivo.

Slide 3

    REGLA PARA SUMAR NÚMEROS ENTEROS
    Cuando los dos números llevan el mismo signo: Se suman los valores absolutos y conserva el signo que tienen. Cuando los dos números tienen distinto signo: Se restan sus valores absolutos y el signo que resulta es el del mayor valor absoluto.
    Cuando sumemos más de dos números enteros podemos proceder de dos formas: Método 1: Sumar los positivos por un lado y los negativos por otro y, después, efectuar la resta de los resultados. Método 2: Ir sumando o restando paso a paso, de izquierda a derecha

Slide 4

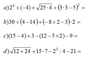
    COMBINACIÓN DE OPERACIONES
    Para resolver operaciones combinadas es indispensable seguir estas reglas: Primero se resuelven las operaciones que haya entre paréntesis. A continuación se resuelven las multiplicaciones y las divisiones. Por último, se resuelven las sumas y restas.
    Caption: : Operaciones combinadas

Slide 5

Show full summary Hide full summary

Similar

FRACCIONES...
Ulises Yo
TEST DE SUMAS Y RESTAS
luis sulca romero
Ecuaciones (Primer Grado)
Diego Santos
Fórmulas Geométricas (Perímetros)
Diego Santos
7 Técnicas para Aprender Matemáticas
maya velasquez
CÁLCULO MENTAL
JL Cadenas
Matemáticasen la VidaCotidiana
Diego Santos
FRACCIONES...
JL Cadenas
Factorización de expresiones algebraicas_1
Juan Beltran
CÁLCULOS con [ 3 · 5 · 7 ]
JL Cadenas
Preguntas del Pensamiento Matemático
Diego Santos