null
US
Sign In
Sign Up for Free
Sign Up
We have detected that Javascript is not enabled in your browser. The dynamic nature of our site means that Javascript must be enabled to function properly. Please read our
terms and conditions
for more information.
Next up
Copy and Edit
You need to log in to complete this action!
Register for Free
3894970
Ecuaciones de 2º
Description
Fórmula de resolución para las ecuaciones de 2º
No tags specified
bhaskara
ecuaciones
función de segundo grado
Slide Set by
mallarini.fernan
, updated more than 1 year ago
More
Less
Created by
mallarini.fernan
about 10 years ago
23
1
0
Resource summary
Slide 1
Conociendo nuevas ecuaciones
759ca7a0-30a5-475e-b10d-98ac005204e2 (image/jpg)
Slide 2
d962799c-bd69-4b0c-a820-f5267e37d315 (image/jpg)
Forma canónica de la ecuación de 2º
Slide 3
Ejemplo
6e6c8628-fdcd-4359-8690-87ec94575fa7 (image/png)
Caption: : ¿Reconoces a; b y c?
Slide 4
Otro ejemplo
3a44f2a5-3921-4a61-9c0e-f85bf39cabcf (image/png)
Caption: : ¿Reconoces a; b y c?
Slide 5
2b6a00b4-7fba-4eae-a901-eaa052da56c6 (image/jpg)
¿Cómo averiguar x?
Caption: : Usando Bhaskara
Slide 6
ab9e4da3-afb0-460f-acc4-acd72f718921 (image/jpg)
¡¡Cuidado!!
Caption: : Para usar BK tiene que tener la forma canónica
Slide 7
af2bd3d8-ed37-4283-a67c-800513c7f9c7 (image/png)
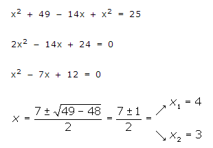
Ejemplo de ecuación de 2º resuelta
Caption: : Luego de resolverla debemos verificar y escribir el conjunto solución.
Slide 8
bec2c92a-0b4e-46ce-a259-4e4524ff3b91 (image/jpg)
¿Por qué BK?
Show full summary
Hide full summary
Want to create your own
Slides
for
free
with GoConqr?
Learn more
.
Similar
Ecuaciones (Primer Grado)
Diego Santos
METODOS PARA RESOLVER ECUACIONES SIMULTANEAS
José Juan Luna Ortega
Ecuaciones Estadísticas
Diego Santos
Sistema de ecuaciones
MaruGonzalez
Derivadas
erendira.aviles
ORIGEN DE LOS LOGARITMOS
Hugo Fernando
Test 1. I medio
Samuel Campos Cid
Matemáticas Avanzadas
Estefi Fernandez
Ecuaciones de Segundo Grado
Diego Santos
ÁLGEBRA
JL Cadenas
ÁLGEBRA - De Mapa Mental
JL Cadenas
Browse Library