MACROMOLECULAS

Description

MACROMOLECULAS
ingrid ramirez alvarez
Slide Set by ingrid ramirez alvarez, updated more than 1 year ago
ingrid ramirez alvarez
Created by ingrid ramirez alvarez almost 10 years ago
1268
0

Resource summary

Slide 1

Slide 2

    INTEGRANTES DEL EQUIPO:
    - RAMIREZ  ALVAREZ  INGRID     3°5 MAT.-VARGAS  LOPEZ  NATALIA     3°5 MAT.

Slide 3

    ¿QUE SON Y CUÁLES SON? 
    Las macromoléculas son moléculas que tienen una masa molecular elevada, formadas por un gran número de átomos.y son :-Naturales Polisacáridos (almidón - celulosa) Proteína Ácidos nucleicos Carbohidratos Lípidos -Artificiales Poliuretano Polietileno Cloruro de polivilino (PVC) Politetrafluoroetileno

Slide 4

    MACROMOLÉCULAS
    La importancia de las macromoléculas en el cuerpo humano es vital debido a que gracias a ellas el organismo realiza una gran cantidad de funciones para su desarrollo y supervivencia. Por ejemplo :correr, estudiar,platicar y caminar son de las muchas actividades que podemos realizar siempre y cuando tengamos energía en nuestro organismo, la cual es obtenida mediante el metabolismo de los alimentos.

Slide 5

    CARBOHIDRATOS 
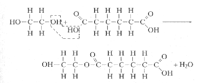
    FUNCIÓN: Los carbohidratos tienen varias funciones en las células. Ellos son una excelente fuente de energía para las varias actividades que ocurren en nuestras células. Algunos carbohidratos pueden tener una función estructural.Los carbohidratos son esenciales para la comunicación entre las células. Estas moléculas también ayudan a las células adherirse la una a la otra, así como al material que rodea a éstas en el cuerpo.ESTRUCTURAS:Los carbohidratos o hidratos de carbono están formados por carbono (C), hidrógeno (H) y oxígeno (O) con la formula general (CH2O)n. Los carbohidratos incluyen azúcares, almidones, celulosa, y muchos otros compuestos que se encuentran en los organismos vivientes. Los carbohidratos básicos o azúcares simples se denominan monosacáridos. Azúcares simples pueden combinarse para formar carbohidratos más complejos. Los carbohidratos con dos azúcares simples se llaman disacáridos. Carbohidratos que consisten de dos a diez azúcares simples se llaman oligosacáridos, y los que tienen un número mayor se llaman polisacáridos.PROPIEDADES:- Solubles en agua- Cristalinos- Mutorrotación- Desvía la luz polarizada- Poco solubles en etanol- Dulces- Dan calor- Siguen la formula Cn (H2O)nCARACTERÍSTICAS: Son moléculas orgánicas, esenciales para la vida. Están compuestas por carbono, oxigeno, hidrógeno. Son solubles en agua. Almacenan energía. Las plantas son las principales portadoras de hidratos de carbono, esto se debe a que estas poseen clorofila, un pigmento responsable de captar la luz solar y a partir de ahí elaborar glucosa.
    Caption: : ESTRUCTURA DE LOS CARBOHIDRATOS

Slide 6

    LÍPIDOS 
    Caption: : ESTRUCTURA DE LOS LIPIDOS
    FUNCIÓN:Los lípidos desempeñan diferentes tipos de funciones biológicas: Función de reserva energética. Los triglicéridos son la principal reserva de energía de los animales ya que un gramo de grasa produce 9,4 kilocalorías en las reacciones metabólicas de oxidación, mientras que las proteínas y los glúcidos sólo producen 4,1 kilocalorías por gramo. Función estructural. Los fosfolípidos, los glucolípidos y el colesterol forman las bicapas lipídicas de las membranas celulares. Los triglicéridos del tejido adiposo recubren y proporcionan consistencia a los órganos y protegen mecánicamente estructuras o son aislantes térmicos. Función reguladora, hormonal o de comunicación celular. Las vitaminas liposolubles son de naturaleza lipídica (terpenos, esteroides); las hormonas esteroides regulan el metabolismo y las funciones de reproducción; los glucolípidos actúan como receptores de membrana; los eicosanoides poseen un papel destacado en la comunicación celular, inflamación, respuesta inmune, etc. Función Biocatalizadora.En este papel los lípidos favorecen o facilitan las reacciones químicas que se producen en los seres vivos.

Slide 7

    ESTRUCTURAS: Las membranas lipídicas se componen principalmente de fosfolípidos que usualmente se componen de cabezas cargadas y cadenas hidrocarbonadas que no pueden interaccionar con el agua. Debido a esta estructura especial, los fosfolípidos, al interaccionar en una solución acuosa, sufren interacciones hidrofóbicas que se pueden definir como el conjunto de factores termodinámicos que son responsables del secuestro de los grupos no polares de un medio acuoso, las cuales hacen que las cadenas hidrocarbonadas tiendan a unirse entre sí, formando estructuras que aseguran un mínimo contacto con el agua incrementando la entropía del sistema. PROPIEDADES: Propiedades físicoquímicas Carácter anfipático. Ya que el ácido graso esta formado por un grupo carboxilo y una cadena hidrocarbonada, esta última es la que posee la característica hidrófoba; por lo cual es responsable de su insolubilidad en agua. Punto de fusión: Depende de la longitud de la cadena y de su número de insaturaciones, siendo los ácidos grasos insaturados los que requieren menor energía para fundirse. Esterificación. Los ácidos grasos pueden formar ésteres con grupos alcohol de otras moléculas. Saponificación. Por hidrólisis alcalina los ésteres formados anteriormente dan lugar a jabones (sal del ácido graso) Autooxidación. Los ácidos grasos insaturados pueden oxidarse espontáneamente, dando como resultado aldehídos donde existían los dobles enlaces covalentes.  CARACTERÍSTICAS: Química.- Algunos lípidos están formados por cadenas  alifáticas que pueden estar saturadas o no estarlo. Son de estructura generalmente lineal aunque pueden contar con una serie de anillos. Su estructura química permite que cuenten con flexibilidad, en tanto otros pueden ser rígidos; algunos comparten carbonos libres y otros forman puentes de hidrógeno. Algunos lípidos refractan el agua, esto es debido a que cuentan con una “No polaridad” o hidrofobia, pero esto no se presenta en otro tipo de solventes como el thiner, acetona etc. Igualmente existe otro parámetro totalmente afín al agua (hidrofilica).A este último aspecto se le denomina “carácter anfipático”

Slide 8

    PROTEÍNAS 
    Caption: : ESTRUCTURA PRIMARIA, SECUNDARIA, TERCIARIA Y CUATERNARIA DE LAS PROTEINAS
    ESTRUCTURA: Todas las proteínas poseen una misma estructura química central, que consiste en una cadena lineal de aminoácidos. Lo que hace distinta a una proteína de otra es la secuencia de aminoácidos de que está hecha, a tal secuencia se conoce como estructura primaria de la proteína. Así mismo, las proteínas no se componen, en su mayoría, de una única cadena de aminoácidos, sino que se suelen agrupar varias cadenas polipeptídicas (o monómeros) para formar proteínas multiméricas mayores. A esto se llama estructura cuaternaria de las proteínas, a la agrupación de varias cadenas de aminoácidos (o polipéptidos) en complejos macromoleculares mayores. Por tanto, podemos distinguir cuatro niveles de estructuración en las proteínas:  • estructura primaria • estructura secundaria  • estructura terciaria  • estructura cuaternaria

Slide 9

    FUNCIÓN: son de gran importancia aunque mucha gente piensa que sirven sólo para crear los músculos y poco más, sin embargo, las funciones de las proteínas son varias y bien diferenciadas. Las proteínas determinan la forma y la estructura de las células y dirigen casi todos los procesos vitales. PROPIEDADES:  CAPACIDAD AMORTIGUADORA: Las proteinas tienen un comportamiento anfótero y ésto las hace capaces de neutralizar las variaciones de pH del medio, ya que pueden comportarse como un ácido o una base y por tanto liberar o retirar protones (H+) del medio donde se encuentran. DESNATURALIZACION Y RENATURALIZACION: La desnaturalización de una proteina se refiere a la ruptura de los enlaces que mantenian sus estructuras cuaternaria, terciaria y secundaria, conservandose solamente la primaria.  SOLUBILIDAD: Las proteinas son solubles en agua cuando adoptan una conformación globular.  ESPECIFICIDAD: Es una de las propiedades más características y se refiere a que cada una de las especies de seres vivos es capaz de fabricar sus propias proteinas (diferentes de las de otras especies) y, aún, dentro de una misma especie hay diferencias protéicas entre los distintos individuos. 
    CARACTERÍSTICAS:Las proteínas son clasificables según su estructura química en: Proteínas simples: Producen solo aminoácidos al ser hidrolizados.  Albúminas y globulinas: Son solubles en agua y soluciones salinas diluidas Glutelinas y prolaninas: Son solubles en ácidos y álcalis, se encuentran en cereales fundamentalmente el trigo. El gluten se forma a partir de una mezcla de gluteninas y gliadinas con agua. Albuminoides: Son insolubles en agua, son fibrosas, incluyen la queratina del cabello, el colágeno del tejido conectivo y la fibrina del coagulo sanguíneo.  Proteínas conjugadas: Son las que contienen partes no proteicas. 

Slide 10

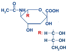
    ÁCIDOS NUCLEICOS 
    Caption: : ÁCIDO NUCLEICO
    FUNCIÓN: La función principal de los ácidos nucleicos es almacenar y transmitir la información genética. El ADN, a nivel molecular, tiene una doble función: sacar copias de sí mismo, duplicarse, autoperpetuarse, asegurando la transmisión de los genes en un proceso denominado replicacion, transmitir la información al ARN, que saca copias del ADN, pudiendo así transcribir dicha información, en forma de proteínas, determinando las características de la célula, la herencia; a este proceso se le denomina transcripción. ESTRUCTURA: Los ácidos nucleicos son biopolímeros formados a partir de unidades llamadas monómeros, que son los nucleótidos. PROPIEDADES: Las más importantes desde el punto de vista biológico son: a) propiedades ácido-base, debido a los grupos fosfato y a las bases nitrogenadas (particularmente importantes en el mantenimiento de los puentes de hidrógeno; b) solubilidad: son solubles en agua y poco solubles en disolventes orgánicos; c) viscosidad: mayor en bicatenarios que en monocatenarios; d) densidad: mayor en RNA y monocatenarios que DNA y bicatenarios; mayor en los SC que OC y éstos que los lineales; mayor cuanto mayor contenido (G+C), y en base a todo ello se pueden separar distintos DNA; e) absorción de luz a 260 nm, debido a las bases nitrogenadas, y que es mayor en los monocatenarios que en los bicatenarios.

Slide 11

    CARACTERÍSTICAS: El ácido nucleico, así llamado porque se encuentra en el núcleo de una célula, es un termino que involucra al ADN y a todos los tipos de ARN y es la manera en que un organismo guarda, traduce y pasa su información genética. Los ácidos nucleicos están hechos de cadenas de nucleótidos, los cuales se componen de un azúcar de cinco carbonos, una base y un grupo fosfato.

Slide 12

Slide 13

    FABRICACIÓN DE POLÍMEROS SINTETICOS
    Polimerización por condensación La polimerización por condensación exige moléculas distintas, bifuncionales y reactantes, en proporción estequiométrica, con/sin eliminación de subproducto, normalmente agua, durante la polimerización. Las familias principales que pueden obtenerse por este procedimiento están descriptas en la tabla 2. R, R' representan grupos orgánicos, alifáticos o aromáticos, que facilitan un gran número de combinaciones y materiales distintos posibles dentro de cada familia. Al comparar con la polimerización por adición, hay que señalar la ausencia de iniciador, la práctica desaparición de monómeros al iniciarse la polimerización, generándose dímeros, trímeros, etc., y que el final del crecimiento se consigue al añadir moléculas monofuncionales.

Slide 14

    Polimerizaciones en cadena Este tipo de polimerizaciones presentan varias etapas conocidas como: reacciones de iniciación, propagación y terminación que son distintas y bien definidas.La iniciación de una polimerización: en cadena puede ser inducida por calor, por agentes químicos (iniciadores) o por radiación (ultravioleta y rayos ).El calor o la radiación provocan la rotura de los enlaces dobles del monómero (homólisis), que dejan uniones libres (radicales libres) listas para enlazarse con otros monómeros en las mismas condiciones.

Slide 15

    Procesos de Obtención de los Polímeros Las clasificaciones descriptas anteriormente no son las únicas. También, los polímeros puede clasificarse de acuerdo con el tipo de reacción química utilizada para su obtención, o la técnica de polimerización usada en la reacción química. Estos aspectos afectan significativamente las características de los polímeros resultantes. Reacciones de Polimerización Las reacciones de polimerización fueron clasificadas por Carothers, en 1929, en dos grupos, de acuerdo con la composición o la estructura de los polímeros.
    Reacción por Poliadición (por adición) Ocurre en monómeros que tienen al menos un doble enlace, y la cadena polimérica se forma por la apertura de este, adicionando un monómero seguido de otro. El polímero es sintetizado por la adición de monómero insaturado a una cadena de crecimiento. Por este procedimiento se sintetizan el polietileno (PE), y las distintas poli olefinas, polímeros vinílicos y acrilicos; los poliésteres o polióxidos, como el POM 

Slide 16

    BENEFICIOS SOBRE LOS POLIMERICOS
    EN NUESTRO PUNTO DE OPINIÓN Unos de los metariales que se hacen con macromoleculas son por ejemplo materiales biodesintegrables, que son mezclas de bioplásticos con polímeros sintéticos no biodegradables, que por acción de los microorganismos se pueden desintegrar, convirtiéndose básicamente en agua y dióxido de carbono sólo las macromoléculas de bioplástico, mientras que las macromoléculas de alto peso molecular del polímero sintético permanecen intactas. Desde el punto de vista de la “contaminación”, se percibe que no son una mejora al problema, por dejar ese residuo sintético sin degradar.Para el uso de macromoleculas existe una ley que prohibe el uso incorrecto o qe dañe al ser humano o a la naturaleza.

Slide 17

    NUEVA IMAGEN DE LOS MATERIALES
    PolímerosUn polímero es una sustancia formada por macromoléculas, moléculas que contienen una cantidad muy grande de átomos y tiene un alto peso molecular. El almidón, la celulosa, la seda y el ADN son ejemplos de polímeros naturales. Éntrelos muchos polímeros sintéticos están el nailon, el polietileno y la baquelita. Los polímeros no necesitan ser homogéneos, y la mayoría no lo son. Aun uno tan sencillo como el polietileno es una mezcla de macromoléculas con distintas longitudes de cadena y distintos grados de ramificación..Clasificación de los polímeros. La estructura, la síntesis, la producción y las aplicaciones de los polímeros abarcan tantas disciplinas que es difícil clasificarlos en una forma general.  la forma mas común de clasificarlos  es en base a su estructura   y/o  su tipo de reacción
    Cristales Los sólidos se dividen en dos categorías: cristalino y amorfos. Un sólido cristalino un cristal es un sólido homogéneo que presenta una estructura interna ordenada de sus partículas reticulares, sean átomos, iones o moléculas. Gracias ala distribución de estas partículas en el sólido cristalino, las fuerzas netas intermoleculares de atracción son máximas. La palabra proviene del griego crystallos, nombre que dieron los griegos a una variedad del cuarzo, que hoy se llama cristal de roca. Aunque el vidrio se le suele confundir con un tipo de cristal ,en realidad el vidrio no posee las propiedades moleculares necesarias para ser considerado como tal. El vidrio, al contrario de un cristal, es amorfo. Un cristal suele tener la misma forma de la estructura cristalina que la conforma. Del estudio de la estructura, composición, formación y propiedades de los cristales se ocupa la Cristalografía.
Show full summary Hide full summary

Similar

Nomenclatura química (Sistemas Stoke y Estequiométrico)
Marcela Fallas
MACROMOLECULAS NATURALES Y SINTETICAS
Aline Rosas
Preguntas sobre mezclas
lina maria mejia gaviria
Ciclos de los Elementos
Diego Santos
TEST REPASO BIOQUÍMICA
VICTOR MANUEL VITORIA RUIZ
TEST ESTRUCTURA ATÓMICA
VICTOR MANUEL VITORIA RUIZ
nomenclatura de la química inorgánica
Rafael Sanchez
Estructura atómica. Modelos y Teorías
Jean Paul Arango
Bioquimica
Ricky Mendoza Or
temas quimica exani II
ibeth cruz