diapositivas

Description

tarea para calificacion
chucho_guitar23
Slide Set by chucho_guitar23, updated more than 1 year ago
chucho_guitar23
Created by chucho_guitar23 almost 10 years ago
93
0

Resource summary

Slide 1

    Procesos de fabricación de los polímeros sinteticos
    Por  adición  Ocurre en monomeros que tienen al menos un doble enlace, y la cadena polimerica se forma por la apertura, adicionando un monomero seguido de otro. El mero es sintetizado por la adición de monomero insaturado a una cadena de crecimiento. Por  este procedimiento se sintetizan el polietileno (PE), y las distintas poli olefinas, polímeros vinilicos y acrílicos, poliesteres  o polioxidos.El monomero puede formar enlace o un anillo estable químicamente y estar en estado gaseoso o liquido volátil a temperatura ambiente
    Caption: : La polimerizacion por adicion se puede esquematizar con la serie de reacciones en cadena: 1. Iniciación I-I → 2I* (1) 2. Crecimiento 2I* +CH2 = CHX →I-CH2-C*HX (2) 3. Crecimiento R*n + monómero → R*n+1 (3) 4. Terminación R*n + R*P → Pn+p (4)

Slide 2

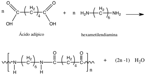
    Por condensacionLa polimerización por condensación exige moléculas distintas, bifuncionales y reactantes, en proporción estequiométrica, con/sin eliminación de subproducto, normalmente agua, durante la polimerización.Al comparar con la polimerización por adición, hay que señalar la ausencia de iniciador, la práctica desaparición de monómeros al iniciarse la polimerización, generándose dímeros, trímeros, etc., y que el final del crecimiento se consigue al añadir moléculas monofuncionales.

Slide 3

    Beneficios sobre el uso adecuado de compuestos polimericos 
    La obtención, invención y fabricación de polímeros, ha desarrollado nuevas maneras de construir, generar, ensamblar y producir diferentes productos industriales, en distintos campos, tales como la industria automotriz, de alimentos, textil y electrónica. Es cierto que la utilizacion de de estos materiales trae como consecuencia problemas al medio ambiente, pero si se hiciera un adecuado y racional uso de estos, obtendriamos entonces mas ventajas de estos compuestos.
    La obtencion 
    Algunos beneficios del uso correcto de estos compuestos son: 2.Pueden ser incinerados:Los plasticos pueden fundirse y ser capaz de generar electricidad.3.Durables:Los plasticos pueden restir el uso y abuso diario sin caerse en pedazos.4.Resistentes al medio ambiente: los plasticos son capaces de resistir distintas condiciones climaticas sin desintegrarse.5.Son de bajo costo :) .6.Facil maleabilidad.7.Facil fabricacion de la mayoria de los polimeros.8. Tienen una buena resistencia mecanica.9.Buena resistencia a la corrosion.10.Amplia variendad de polimeros con distintas propiedades.

Slide 4

    Nueva imagen de los materiales
    Polimeros.Un polímero es una sustancia formada por macromoléculas, moléculas que contienen una cantidad muy grande de átomos y tiene un alto peso molecular. El almidón, la celulosa, la seda y el ADN son ejemplos de polímeros naturales. Cristales.Los sólidos se dividen en dos categorías: cristalino y amorfos. Un sólido cristalino un cristal es un sólido homogéneo que presenta una estructura interna ordenada de sus partículas reticulares, sean átomos, iones o moléculas. Gracias ala distribución de estas partículas en el sólido cristalino, las fuerzas netas intermoleculares de atracción son máximas.Materiales ceramicosLos materiales cerámicos son sólidos inorgánicos que normalmente son duros y estables a altas temperaturas. En general son aislantes eléctricos. Los materiales cerámicos tienen una variedad de formas químicas, incluyendo los óxidos, carburos, nitruros, silicatos y aluminatos.
Show full summary Hide full summary

Similar

Pensamiento Sistemico
kali_j30
Base de datos simples
Patricia BS
Actividad Preliminar OE3
alicia gutierrez7498
Por el origen de la energia
urbinajonathan39
TIC´S MAPA CONSEPTUAL
Sara Martínez Ro
MÉTODO CIENTÍFICO
Eddy Ferrer Díaz
la sociabilidad animal y especificidad de la sociedad humana
Braulio ortiz ro
FUNDAMENTOS Y PRINCIPIOS CONTABLES
Diana Tene