Presentación de las Macromoléculas

Description

Es un trabajo para la materia de quimica II
ceci.sarabia0341
Slide Set by ceci.sarabia0341, updated more than 1 year ago
ceci.sarabia0341
Created by ceci.sarabia0341 almost 10 years ago
121
0

Resource summary

Slide 1

Slide 2

    MACROMOLÉCULAS NATURALES 
    Todos los seres vivo estamos compuestos de agua y moléculas complejas llamadas Macromoléculas, se les conoce así porque su masa molecular es mayor a 10 000 una (unidad de masa atómica) constituidas esencialmente de Carbono.Las principales macromoléculas para el ser humano son: proteínas, lípidos, carbohidratos y ácidos nucléicos. Divididos de acuerdo a las funciones de los seres humanos que pueden ser: estructurales, de reserva, reguladroas y transportadoras; las cuales aportan funciones energéticas mediante reservas ya sea de largo o corto plazo. Las macromoléculas obtenidas de alimentos orgánicos que consumimos diariamente nos brindan un equilibrio nutricional para que el cuerpo humano reciba los nutrientes necesarios para su sano desarrollo. 

Slide 3

    FUNCIÓN,PROPIEDADES Y ESTRUCTURA 
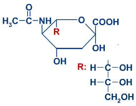
    CARBOHIDRATOS:  Son biomoléculas constituidas por carbono, hidrógeno y oxigenoFUNCIÓN: Son una excelente fuente de energía para las varias actividades que ocurren en nuestras células, algunos carbohidratos pueden tener una función estructural, por ejemplo, el material que mantiene a las plantas de pie y da a la madera sus propiedades resistentesPROPIEDADES: Oxidación: El grupo aldehído puede oxidarse para formar el ácido correspondiente.Reducción: Tanto los grupos aldehídos como los cetónicos pueden reducirse al alcohol correspondiente. 
    Caption: : ESTRUCTURA

Slide 4

    FUNCIÓN,PROPIEDADES Y ESTRUCTURA 
    LIPIDOS: Su estructura esta formada por hidrógeno, carbono y oxígeno FUNCIÓN: conforman las capas lipídicas de las membranas, conforman una reserva energética, se transportan gracias a la emulsión que produce junto a los ácidos biliares y  catalizan funciones orgánicas como hormonas, prostaglandinas, vitaminas lipídicas.PROPIEDADES: Esterificación: Es una reacción en la cual un ácido graso se une a un alcohol, mediante un enlace covalente.Saponificación: Es una reacción en la cual un ácido graso se une a una base dando una sal de ácido graso, liberando una molécula de agua.Antioxidación: Es una reacción en la cual se oxida un ácido graso insaturado.
    Caption: : ESTRUCTURA

Slide 5

    FUNCIÓN,PROPIEDADES Y ESTRUCTURA
    PROTEÍNAS: FUNCIONES: Algunas proteinas constituyen estructuras celulares, confieren elasticidad y resistencia a órganos y tejidos, actúan como biocatalizadores de las reacciones químicas del metabolismo celular, algunas hormonas son de naturaleza protéica, regulan la expresión de ciertos genes y otras regulan la división celular, mantienen el equilibrio osmótico y actúan junto con otros sistemas amortiguadores para mantener constante el pH del medio interno, función de transporte, función contráctil de músculos y tienen función de reserva. PROPIEDADES: SolubilidadCAPACIDAD AMORTIGUADORA DESNATURALIZACION Y RENATURALIZACION: refiere a la ruptura de los enlaces que mantenian sus estructuras cuaternaria, terciaria y secundaria, conservandose solamente la primariaESPECIFICIDAD: Es una de las propiedades más características y se refiere a que cada una de las especies de seres vivos es capaz de fabricar sus propias proteinas
    Caption: : ESTRUCTURA

Slide 6

    FUNCIÓN,PROPIEDADES Y ESTRUCTURA
    ÁCIDOS NUCLEICOS: FUNCIONES: Duplicación del ADNTranscripción del ADN para formar ARNm y otrosTraducción, en los ribosomas, del mensaje contenido en el  ARNm a proteinas.PROPIEDADES: Desnaturalización: capacidad que posee la molécula de separar sus dos cadenas.Reabsorción: emparejamiento de las cadenas tras quitar el calor al que son sometidas para la desnaturalización.Hibridación: emparejamiento entre cadenas complementarias de origen diferente.
    Caption: : ESTRUCTURA

Slide 7

    ENLACE GLUCOSÍDICO 
    El enlace glucosídico es aquel mediante el cual un glúcido se enlaza con otra molécula, que puede ser o no ser otro glúcido, en caso de unirse entre sí dos o más monosacaridos formando disacaridos o polisacaridos utilizando un átomo de oxígeno como puente entre ambas moléculas, su denominación correcta es enlace O-glucosídico.
    Caption: : Se unen dos moléculas de α-D-glucosa (son α porque el grupo OH del carbono anomérico está en posición trans con respecto al CH2OH).

Slide 8

    ENLACE PEPTÍDICO
    El enlace peptídico es un enlace entre el grupo amino (–NH2) de un aminoácido y el grupo carboxilo(–COOH) de otro aminoácido. Están formados por la unión de aminoácidos mediante enlaces peptídicos.  El enlace peptídico implica la pérdida de una molécula de agua y la formación de un enlace covalente CO-NH. El enlace peptídico es plano y por tanto no existe rotación alrededor del enlace.El enlace peptídico posee un carácter de doble enlace, lo que significa que es mas corto que un enlace sencillo y, por tanto, es rígido y planoLos enlaces peptídicos generalmente se encuentran en posición trans en lugar de cis y esto se debe en gran parte a la interferencia estérica de los grupos R cuando se encuentran en posición cis.  

Slide 9

    FABRICACION DE POLIMEROS CINTETICOS
    Polimerización por condensación La polimerización por condensación exige moléculas distintas, bifuncionales y reactantes, en proporción estequiométrica, con/sin eliminación de subproducto, normalmente agua, durante la polimerización.Las familias principales que pueden obtenerse por este procedimiento son R, R' representan grupos orgánicos, alifáticos o aromáticos, que facilitan un gran número de combinaciones y materiales distintos posibles dentro de cada familia.Al comparar con la polimerización por adición, hay que señalar la ausencia de iniciador, la práctica desaparición de monómeros al iniciarse la polimerización, generándose dímeros, trímeros, etc., y que el final del crecimiento se consigue al añadir moléculas monofuncionales.
    POLIMERIZACIÓN POR ADICIÓN Ocurre en monómeros que tienen al menos un doble enlace, y la cadena polimérica se forma por la apertura de este, adicionando un monómero seguido de otro. El polímero es sintetizado por la adición de monómero insaturado a una cadena de crecimiento. Por este procedimiento se sintetizan el polietileno, y las distintas poli olefinas, polímeros vinílicos y acrilicos; los poliésteres o polióxidos. 

Slide 10

    BUEN USO DE LOS POLÍMEROS 
    La utilización de los polímeros ha desarrollado una revolución en la industria, pues su uso ha sido más demandado debido a sus características.La obtención, invención y fabricación de polímeros, ha desarrollado nuevas maneras de construir, generar, ensamblar y producir diferentes productos industriales, en distintos campos, tales como la industria automotriz, de alimentos, textil y electrónica. Una gran parte del buen uso de polímeros es la conciencia social, ya que estos son de gran ayuda y utilidad en nuestra vida cotidiana pero si no sabemos como reciclarlos, darles un correcto uso o desecharlos de una manera correcta igualmente genera una gran contaminación en nuestro planeta lo cual no nos beneficia en nada.  

Slide 11

Slide 12

Slide 13

Slide 14

Show full summary Hide full summary

Similar

MACROMOLÉCULAS, POLÍMEROS Y MONÓMEROS
macrodiapositiva
4.7.6. Nano química (propiedades fisicoquímicas no convencionales de polímeros Catenanos y Rotaxanos
Marco Javier Uuh
Macromoléculas, polímeros y monómeros
Joana Alvarez
Macromoleculas , polimeros y monomeros
Diana Aguilar
Macromoléculas
Isrrael Fernando
moléculas orgánicas
fernanda lopez
POLIMEROS
JAMBY JAMBY
Sentido del olfato
Diana Cortes
Teoría cinética de los gases
leidi.bernal
Niveles de Organización de los Seres Vivos
Sebastian Alvarez