null
US
Sign In
Sign Up for Free
Sign Up
We have detected that Javascript is not enabled in your browser. The dynamic nature of our site means that Javascript must be enabled to function properly. Please read our
terms and conditions
for more information.
Next up
Copy and Edit
You need to log in to complete this action!
Register for Free
4397326
MATEMÁTICAS I
Description
Temas generales de Matemáticas 1
No tags specified
leyes de exponente
términos semejantes
factorización
bachillerato
Slide Set by
Leticia Pérez Nicolás
, updated more than 1 year ago
More
Less
Created by
Leticia Pérez Nicolás
almost 10 years ago
32
1
0
Resource summary
Slide 1
MATEMÁTICAS I
60e30550-7883-470d-bef6-c958879e2387 (image/jpg)
Slide 2
CLASIFICACIÓN DE LOS NÚMEROS REALES
a72af2fd-516e-4334-905f-ffaebd19a390.gif (image/gif)
Slide 3
d60b6692-c277-4838-8007-d7ed48d3bccf (image/png)
PROPIEDADES DE LA IGUALDAD
Slide 4
LEYES DE EXPONENTES
13a12a13-8d4d-4b4d-b659-72b40e6788df (image/jpg)
Slide 5
TÉRMINOS SEMEJANTES
ed088b15-0248-4a77-8273-027c28efa9ae (image/png)
60a0f118-263c-494e-8f99-66d6ec7c1284 (image/jpg)
Slide 6
6b871db8-58a7-4d00-b949-b3a05045f359 (image/png)
Slide 7
13674d94-6faf-4661-a8d1-e666503248de.JPG (image/JPG)
REDUCCIÓN DE TÉRMINOS
809a496a-001b-4b78-bec9-26cd609ac998 (image/png)
Slide 8
a69004ab-73fb-48ba-bb9f-dd524cbd0a59 (image/jpg)
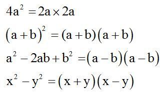
FACTORIZACIÓN
46afdfda-02e9-4693-9d4f-0c5e2180a22c (image/jpg)
Slide 9
EJEMPLOS:
7d6294a0-0f75-4251-846e-d3165754ebb4 (image/jpg)
Show full summary
Hide full summary
Want to create your own
Slides
for
free
with GoConqr?
Learn more
.
Similar
Factorización
maya velasquez
Factorización de Expresiones Algebráicas
maya velasquez
ecuaciones de primer grado
fmartinez2408
Casos de Factorización.
Angie Paola Plazas Mavesoy
POLINOMIOS
Ramón López-Sela
Factorización
Carlos Saravia
FACTORIZAR POLINOMIOS USANDO IDENTIDADES NOTABLES
Ramón López-Sela
Vocabulario de Álgebra -Expresiones Algebraicas-
Mago Ballack
GLOSARIO ALGEBRAICO
Miguel Ángel Fernández Pérez
Factor común
Carlos Saravia
sistema de ecuaciones simultáneas
fmartinez2408
Browse Library