Matrices

Description

Matrices
j.2689
Slide Set by j.2689, updated more than 1 year ago
j.2689
Created by j.2689 over 9 years ago
240
1

Resource summary

Slide 1

    Unidad Académica Profesional Cuautitlán IzcalliLicenciatura en LogísticaModalidad a DistanciaMateria:ÁLGEBRA LINEALUnidad de Aprendizaje Álgebra LinealTema: Matrices Alumno:: Jorge Aguilar Salas Profesor: M. en A. Edel Cruz García Cuautitlán Izcalli, México a 07 de Marzo del 2016. 
    UAEM

Slide 2

    Matrices
    Una matriz es un arreglo rectangular de números. Los números del arreglo se conocen como elementos de la matriz.Se usarán letras mayúsculas como: A, B, C, etc. para denotar matrices y minúsculas para denotar los elementos; por tanto, se podría escribir:
    Caption: : Como se ve,, las matrices tienen diferentes tamaños. El tamaño de una matriz se describe especificando el número de renglones (líneas horizontales) y columnas (líneas verticales) que se presentan en ella.

Slide 3

      Tipos de matrices
      Según el orden Matriz rectangular: Si el número de filas o renglones y el número de columnas no coincide, es decir, (mXn). Matriz cuadrada de orden n: si el número de filas y el de columnas coincide, es decir, m = n. Matriz fila: Si sólo tiene una fila, es decir, m = 1. Matriz columna: Si solo tiene una columna. es decir, n = 1.Según sus elementosMatriz nula: si todos los elementos son 0

    Slide 4

      Según sus elementosMatriz escalonada: Si al principio de cada fila (columna) hay al menos un elemento nulo más que en la fila (columna) anterior. https://www.youtube.com/watch?v=anyVteqjBTEhttps://www.youtube.com/watch?v=2T0P8AEBaIwMatriz triangular superior: si es una matriz cuadrada en la que todos los elementos que están por debajo de la diagonal principal son 0.  Matriz triangular inferior: si es una matriz cuadrada en la que todos los elementos que están por encima de la diagonal principal son 0.
      Caption: : MATRIZ TRIANGULAR
      Tipos de matrices

    Slide 5

      Según sus elementosMatriz diagonal: Es una matriz cuadrada en la que todos los elementos que no están en la diagonal principal son 0.Matriz escalar: si es una matriz diagonal en la que todos los elementos que están en la diagonal principal coinciden.https://www.youtube.com/watch?v=VhOPduuK3DI Matriz identidad o matriz unidad: si es una matriz escalar en la que todos los elementos de la diagonal principal son 1.
      Tipos de matrices
      Caption: : Matriz identidad

    Slide 6

      Suma Si A y B son dos matrices cualesquiera del mismo tamaño, entonces la suma A + B es la matriz que se obtiene al sumar los elementos ij correspondientes de las dos matrices. Las matrices de tamaños diferentes no se pueden sumar. Resta Si A y B son dos matrices cualesquiera del mismo tamaño, entonces  A - B es la matriz que se obtiene al restar los elementos ij correspondientes de las dos matrices. Las matrices de tamaños diferentes no se pueden restar.
      Operaciones con matrices
      Caption: : Suma y Resta de Matrices

    Slide 7

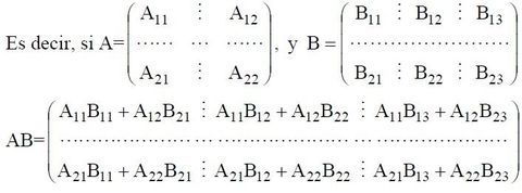
      Multiplicación
      Caption: : Multiplicación I .- Si A es una matriz cualquiera y k es cualquier escalar, entonces el producto k x A es la matriz que se obtiene al multiplicar cada elemento de A por k.
      Caption: : Multiplicación II .- Si A es una matriz de m x r y B es una de r x n, entonces el producto AB es la matriz de m x n cuyos elementos se determinan como sigue. Para encontrar el elemento en el renglón i y la columna j de AB, distíngase el renglón i de la matriz A y la columna j de la B. Multiplíquense los elementos correspondientes del renglón y columna y, a continuación, súmense los productos resultantes.

    Slide 8

    Slide 9

    Slide 10

      Inversa de una matriz y matriz elemental
      Caption: : Si A es una matriz cuadrada cualquiera y si es posible hallar una matriz B tal que AB = BA =1, entonces se dice que A es inversible y B se conoce como inversa de A.
      Caption: : Definición se dice que una matriz de n x n es una matriz elemental si se puede obtener a partir de la matriz identidad de n x n realizando una sola operación elemental sobre los renglones.

    Slide 11

      ¿Qué te parece el tema de matrices?
      De acuerdo a mi investigación, algunas propiedades y las operaciones de matrices son similares a los números reales, con sus excepciones,, también es necesario tener en cuenta los conceptos, por ejemplo de los tipos de matriz, sus características, la matriz identidad, matriz elemental y otros, ya que esto conceptos son utilizados para la solución de ecuaciones lineales por los distintos métodos de matrices. Sin lugar a duda mucha información que sera mas clara cuando comencemos ha realizar los distintos ejercicios prácticos.También me pareció, que las distintas operaciones con matrices se tienen que realizar con mucha concentración, ya que si bien implica operaciones que se supone debemos tener dominadas, al momento de que las matrices tienen mas elementos, estos pueden provocar confusión, seria buena idea también utilizar un programa informático, por supuesto esto después de dominar los distintos temas.   

    Slide 12

      Buitrago, R. (2009). ÁLGEBRA LINEAL. Colombia: Universidad Militar Nueva Granada.David C.. (2007). Álgebra lineal y sus aplicaciones. México: PEARSON EDUCACIÓN.Del Valle, J.. (2011). ÁLGEBRA LINEAL PARA ESTUDIANTES DE INGENIERÍA Y CIENCIAS. McGRAW-HILL: México.
      Referencias:
    Show full summary Hide full summary

    Similar

    Matrices y Determinantes
    Diego Santos
    MATRIZ
    Leben Tod
    Biología: Examen de selección Ciencias de la Salud Exani II 2014 por H. Caleb Lagunas Rojas
    Caleb rjs
    TIPOS DE MATRICES
    Balta Estevan Herrero
    Examen de selección Ciencias de la Salud Exani II 2014
    lupisdomm
    Matrices y Determinantes
    Victor Rodriguez
    Statistics Equations
    maya velasquez
    Examen de selección Ciencias de la Salud Exani II 2014 _1
    jorgiño
    MATRIZ DE CONESA
    maritza gomez
    Examen de selección Ciencias de la Salud Exani II 2014
    beto_102teg
    MATRIZ FODA GUARDERIA INFANTIL "MUNDO MÁGICO"
    lelysmarlisboa