Historia del Internet

Description

Historia del Internet
Jhosel Ruiz
Slide Set by Jhosel Ruiz, updated more than 1 year ago
Jhosel Ruiz
Created by Jhosel Ruiz about 9 years ago
30
0

Resource summary

Slide 1

    Nacimiento del Internet
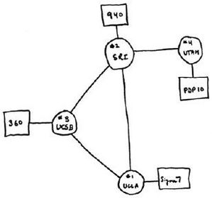
    Terminando la II Guerra Mundial, Estados Unidos y la antigua Unión Soviética se enzarzaron en la llamada "guerra fría".A finales de los sesenta, ambos ejércitos tenían claro que si se desataba un conflicto bélico entre ellos el ataque vendría marcado por un masivo lanzamiento de misiles.  La única forma de enfrentarlos era detectándolos nada más ser lanzados, y esto sólo se conseguiría dejando que los ordenadores actuasen estando comunicados entre sí.La red que utilizaron los militares carecía de nodos centrales para que, en caso de que los misiles dañaran algún ordenador, la red no quedara inservible. En 1969 se estableció ARPANET, la primera red sin nodos centrales, de la que formaban parte cuatro universidades estadounidenses. La primera transmisión tuvo lugar el 29 de octubre de 1969 entre Universidad de California de los Ángeles y Stanford Research Institute.
    Caption: : Diagrama de la primera red sin nodos centrales.

Slide 2

      Con las ventajas de la interconexión, se incorporaron muchas más universidades y APARNET se internacionalizó.Hasta principios de los 90 Internet se volvió atractivo para el público, gracias a Tim Berners-Lee, que en octubre de 1990 elaboró el HTML, al igual que el primer servidor World Wide Web.

Slide 3

    Cualquiera de las páginas Web son documentos HTML almacenados en un servidor conectado a la WWW, pero no vemos su código HTML, sino su contenido, debido a que un programa se ha encargado de leer el código y mostrar la página Web, a estos programas se les llama navegadores.Hasta 1995 Microsoft no lanzó la primera versión de su propio navegador, Internet Explorer, que era gratuito.
    Navegadores

Slide 4

    Internet es una red mundial en la que están interconectados millones de ordenadores. Para localizar un determinado equipo es necesario de la IP. Los nombres de dominio sustituyen las direcciones numéricas de la IP. Por ejemplo, www.edmodo.comLa parte que va detrás del segundo punto puede ser genérica o internacional y terriotiral o de primer nivel.
    Nombre de dominios

Slide 5

    Buscadores
    Internet no posee una central que lo controle todo, por lo que es imposible saber lo que hay en cada página de la Web. Sin embargo, hay muchos buscadores que buscan organizar todas estas páginas Web.En abril de 1994, dos estudiantes de Ingeniería Eléctrica en la Universidad de Stanford archivaba las direcciones que más les gustaban de Internet, organizándolas por temas. Después publicaron su catálogo de direcciones en Internet para que cualquier persona lo consultara. Fue propagándose y en poco tiempo su Web fue de las más visitadas en la Red. Así nació Yahoo! y se convirtió en una empresa multimillonaria.

Slide 6

    En 1998 nació Google, que en pocos años después le arrebató el primer puesto a Yahoo!Google fue creado por Larry Page y Sergey Brin, estudiantes de Stanford. Clasificaron las Web en función de su importancia, y esa ha sido la razón de su éxito.

Slide 7

    Correo electrónico
    El primer programa para enviar correos electrónicos es muy anterior a WWW, fue creado por Ray Tomlinson en 1971 y su nombre fue SNDMSG para enviar mensajes entre los ordenadores de ARPANET.Pasaron 20 años en los que prácticamente todo era igual al principio, hasta la aparición de Hotmail. En 1988 Sabeer Bathia y Jack Smith se hallaban trabajando en Apple Computer, hasta que se les ocurrió la idea de poner en marcha un servidor de correo gratuito que se gestionara desde un página Web, en vez de un programa.  El 4 de julio de 1996 pusieron en marcha su servidor y fue todo un éxito. En 1997 Microsoft adquirió Hotmail por una enorme cantidad de dinero.
Show full summary Hide full summary

Similar

Test Diagnóstico de Informática Básica
victorlobato2009
Elias Tecnoligia 1
Samuel Elias Schmidt Vetere
Diagnóstico
Ricardo Chavira Ruiz
Práctica de Informática
milyvillegas0731
NAVEGADOR DE INTERNET Web Browser
julianaob
Presentación de Navegadores y Buscadores
Armando Martínez
Introduce el texto aquí
KARLA ITZEL CHAVEZ MACIEL
Plantillas
andres molina
Browser
j.jimenez.bb