DIAPOSITIVAS SERIES CALCULO todo el trabajo

Description

SON DIAPOSITIVAS PARA EXPLICAR LAS SERIES, SUS CARACTERISTICAS, SUS TIPOS Y CRITERIOS JUNTO CON LAS FORMULAS
inoe pozo
Slide Set by inoe pozo, updated more than 1 year ago
inoe pozo
Created by inoe pozo over 8 years ago
1358
0

Resource summary

Slide 1

Slide 3

Slide 4

    SERIE FINITA
    SON LAS QUE CONSTAN DE UN DETERMINADO O FINITO NUMERO DE TÉRMINOS CUYA SUMA EXTRAE EXACTAMENTE EL VALOR DE UNA CANTIDAD.
    Caption: : N= A UN VALOR DETERMINADO QUE DELIMITA LA SERIE

Slide 5

    SERIE FINITA EJEMPLOS
    "Sucesiones" y "series" pueden parecer la misma cosa... pero en realidad una serie es la suma de una sucesión.Sucesión: {1,2,3,4}Serie: 1+2+3+4 = 10Las series se suelen escribir con el símbolo Σ que significa "súmalos todos":Esto significa "suma de 1 a 4" = 10 Esto significa "suma los cuatro primeros términos de la sucesión 2n+1" Que son los cuatro primeros términos de nuestro ejemplo {3,5,7,9,...} = 3+5+7+9 = 24

Slide 6

    SERIE INFINITA
    SON AQUELLAS DONDE n TOMA EL VALOR DE ABSOLUTAMENTE TODOS LOS NÚMEROS NATURALES
    Caption: : SU DOMINIO ES EL CONJUNTO DE ENTEROS POSITIVOS

Slide 7

    Una secuencia o cadena «finita», tiene un primer y último término bien definidos; en cambio en una serie infinita, cada uno de los términos suele obtenerse a partir de una determinada regla o fórmula.
    NOTA GENERAL:

Slide 8

    CARACTER DE LAS SERIES
    DIVERGENTESerie divergente a una serie infinita que no es convergente, por lo tanto la secuencia infinita de las sumas parciales de la serie no tiene un límite.Así, una serie en la que los términos individuales no se aproximan a cero, es una serie divergente.
    CONVERGENTESi una serie converge, los términos individuales de la serie deben aproximarse a cero.

Slide 9

Slide 10

    PRUEBA DE LA RAZÓN
    CRITERIO DE D´ALEMBERTSi L < 1, La serie ConvergeSi L > 1, L a serie DivergeSi L = 1, No es posible decir algo sobre el comportamiento de la serie. Se utilizaría el criterio de Raabe.
    Caption: : Sea una serie tal que ak>0 (Serie de términos positivos)

Slide 11

    PRUEBA DE LA RAIZ
    CRITERIO DE CAUCHYSi L < 1, La serie Converge Si L > 1, L a serie Diverge Si L = 1, No es posible decir algo sobre el comportamiento de la serie. Tenemos que recurrir al criterio de Raabe.
    Caption: : SERIE DE TERMINOS POSITIVOS

Slide 12

    SERIES DE POTENCIAS:
    Caption: : Serie infinita que involucra una variable que puede estar presente de manera general com X^n o como (x+a)^n. Resolver una serie de potencias significa encontrar os valores de esta variable "x" para el cual la serie es absolutamente convergente.. 1)prueba de convergencia absoluta. 2)Calcular el valor del limite. 3) obtener RADIO DE CONVERGENCIA 4)obtener INTERVALO DE CONVERGENCIA.

Slide 13

Slide 14

    RADIO DE CONVERGENCIA
    RADIO DE CONVERGENCIA Valor numérico que se obtiene en el proceso de calculo antes de aplicar la propiedad de valor absoluto a la variable X^n o al termino (x+a)^nINTERVALO DE CONVERGENCIAEs el conjunto de números reales de x para los que converge la serie.
    Recibe el nombre de " SERIES CENTRADAS EN Xo" La serie converge absolutamente para un conjunto de valores de X que verifica que: |X-Xo| < rDonde r es numero real llamado:RADIO DE CONVERGENCIA DE LA SERIE

Slide 15

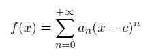
    SERIE DE TAYLOR
    Caption: : n!, Es el factorial de n y p(n)(a), Indica la n-esima derivada de f en el punto a.
    Una serie de Taylor de una función f(x), infinitamente derivable (Real o Compleja) definida en un intervalo abierto (a-r, a+r) Se expresa de la siguiente forma:

Slide 16

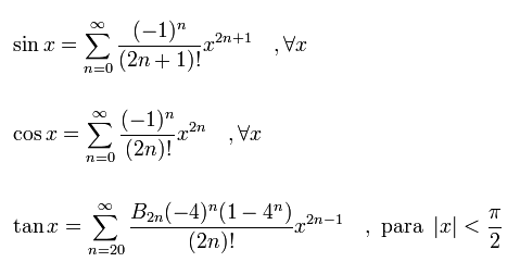
    REPRESENTACIONES DE FUNCIONES
    Caption: : SERIE DE TAYLOR DE FUNCIONES BASICAS
Show full summary Hide full summary

Similar

Aplicaciones del calculo integral en las ciencias
Jose Carlos Gonz0945
CALCULO INTEGRAL
Jazlen G.A
SISTEMA REPRODUCTOR
LUIS FERNANDO GUISAO RODRIGUEZ
Cálculo Integral
Wilmer Amézquita Obando
DIAPOSITIVAS
Jesus Ucero
Formato del fondo de diapositivas
Allan Sintuj Ramírez
Ciclo de vida de la game boy advance
danielgilberrio
diapositivas de entidad y relacion
Evelyn Valdez
Dispositivos de informacion.
rogerchavezmelga7333
Los estados de agregación de la materia.
AngelPeñalver
Los valores y anti valores. (10).
Naomi Guevara