Each question in this quiz is timed.
¿Cuántos elementos tiene el conjunto M
25
30
31
33
32
En una ciudad el 40% de la población fuma, el 35% de la población bebe y el 70% de los que fuman, beben ¿Qué porcentaje de la población no fuma ni bebe?
47%
30%
53%
70%
50%
En una reunión se observa que el 70% de las personas hablan castellano,120 personas hablan ingles y el 10% de las personas hablan ingles y castellano ¿Cuantas personas hablan solamente castellano?
180
170
160
me doy por vencido y adivino
150
110
hallar 2(a+b)
56
paso a la siguiente
que lo haga el profe
40
42
72
Si :
3
9
Viva el Perú. Paso a la siguiente
27
81
-3
En el segmento AB se ubican los puntos M y N de modo que M es punto medio de AB y N es punto medio de MB ,si NB = 3. Calcular AN
6
12
15
profe resuelvalo
18
Se tiene los puntos colineales y consecutivos A , B y C tales que My N son puntos medios de AB y BC, respectivamente. Si 3MN = 2MC y AB - BN =2. Calcular AC
2
4
8
10
8.1
En la igualdad mostrada ,calcular el valor de ß
22.5
54
67.5
75
En la figura OM y ON son bisectrices de los angulos AOB y COD respectivamente. Calcular la medida del angulo BOC
60
90
105
45
En la figura L1//L2 . Calcular el valor de "x"
100
120
130
140
sec (90 + x ) = csc x
ctg ( 270 - x ) = tg x
csc ( 270 + x ) = sec x
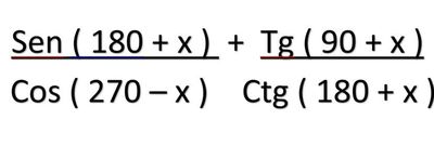
Simplificar :
1
-1
1/2
-1/2
0
Cual es el nombre del :
sulfa de hidrogeno
acido carbonico
dióxido de azufre
acido sulfurico