Rebekkah  Gresh
Quiz by , created more than 1 year ago

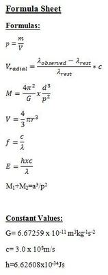
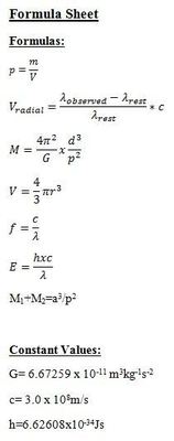
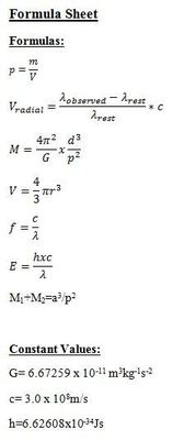
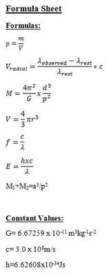
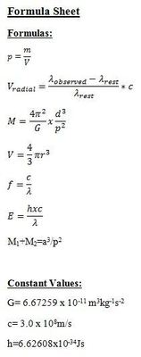
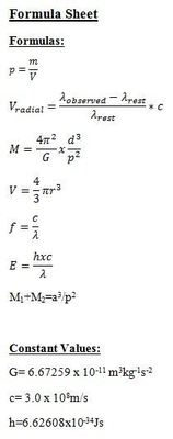
This is made to prepare students of BGSU ASTR 2120: The Solar System. It was created using information from Pathways to Astronomy (Third Edition) by Stephen E. Schneider and Thomas T. Arny. It consists of 51 Multiple Choice and True and False Questions. A few mathematical based questions was taken from this website (http://physics.bgsu.edu/~layden/A212H/practice_probs_exam1.htm) and credit for them goes to Dr. Layden of BGSU. To view explanations and solutions view the link in the comments.

280
4
1
Rebekkah  Gresh
Created by Rebekkah Gresh almost 10 years ago
Close

Astronomy: The Solar System Units- 19, 21-25, 34-39, and 51-52

Please wait - loading…