juliansotomayor_
Quiz by , created more than 1 year ago

Saludos familia Aquinense. Tu puedes lograrlo !

29
0
0
juliansotomayor_
Created by juliansotomayor_ over 9 years ago
Close

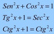
Matemática 2 Bimestre 2016 - Identidades trigonométricas

Each question in this quiz is timed.

Begin Quiz
Please wait - loading…