juliansotomayor_
Quiz by , created more than 1 year ago

Saludos Estudiantes. Se que lo lograrás !

270
0
0
juliansotomayor_
Created by juliansotomayor_ over 9 years ago
Close

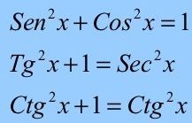
Matemática - Identidades Trigonométricas - I -

This is a timed quiz.

You have 2 minutes to complete the 4 questions in this quiz.

Begin Quiz
Please wait - loading…