This is a timed quiz.
You have 1 hour to complete the 20 questions in this quiz.
Repartir $300 pesos entre Hugo, Paco y Luis de modo que la parte de Paco sea el doble que la de Hugo y la de Luis el triple de la de Hugo.
Hugo 100 Paco 150 Luis 50
Hugo 150 Paco 100 Luis 50
Hugo 130 Paco 140 Luis 50
Hugo 50 Paco 100 Luis 150
Un hombre gasta la mitad de su sueldo mensual en el alquiler de la casa y alimentación de su familia y 3/8 del sueldo en otros gastos. Al cabo de 15 meses ha ahorrado $300. ¿Cuál es su sueldo mensual?
$175
$145
$160
$100
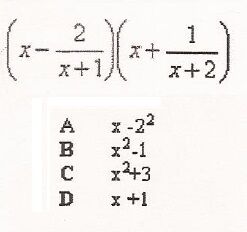
Al multiplicar la siguiente expresión da como resultado
a
b
c
d
Resolver el siguiente sistema de ecuaciones: 3x + y + z = 1 x + 2y - z = 1 x + y + 2z = -17
x= 5, y= -6, z= -8
x= 6, y= -6, z= 3
x= 5, y= 5, z= -0
x= 2, y= -2, z= -8
¿Cuál es el cociente de la siguiente expresión?
m + 5
m - 3
m - 5
m + 3
¿Cuál es el resultado de (x + 2) (x + 3)?
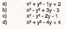
¿Cuál es el resultado de [(x + y + 1) (x -y -1)]?
A
B
C
D
Entre A, B y C tienen 130 pesetas, C tiene el doble de lo que tiene A y 15 pesetas menos que B. ¿Cuánto tiene cada uno?
A=71.5 B=21.25 y C=41.5
A=73.5 B=22.25 y C=73.5
A=72.5 B=21.25 y C=36.25
A=74.5 B=24.25 y C=74.5
La suma de dos números es 540 y el mayor excede al triplo del menor en 88. ¿Cuáles son los números?
428 y 112
426 y 114
425 y 115
427 y 113
¿Cuál es el resultado al descomponer en 2 factores la expresión? am - bm + an - bn
(a + n) (b - m)
(a - b) (m + n)
(a + m) (b + n)
(a + b) (m + n)
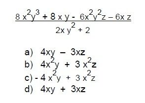
Reduzca la siguiente expresión
Resuelva la siguiente expresión
Encontrar los valores de X y Y en el siguiente sistema de ecuaciones: 3x - 2y = -2 5x + 8y = -60
X= -5, Y= -6
X= -4, Y= -5
X= 3, Y= 4
X= 2, Y= 3
Encontrar los valores de X y Y en el siguiente sistema de ecuaciones: 1x - 5y = 8 -7x - 8y = 25
X= -6, Y= -2
X= 45/78, Y= 42/69
X= 5, Y= 1
X= -69/43, Y= -81/43
El resultado de la siguiente división es:
Un hombre deja una herencia de $16575 para repartir entre 3 hijos y 2 hijas, y manda que cada hija reciba $2132 más que cada hijo. Hallar la parte de cada hijo y de cada hija.
Hijos $2462.2 c/u Hijas $4594.2 c/u
Hijos $2562.2 c/u Hijas $4494.2 c/u
Hijos $3462.2 c/u Hijas $3594.2 c/u
Hijos $2662.2 c/u Hijas $4394.2 c/u
Cuál es el valor de "y", en la siguiente ecuación