Cuál de las siguientes funciones pertenece a la gráfica que se le presenta a continuación:
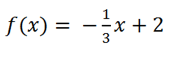
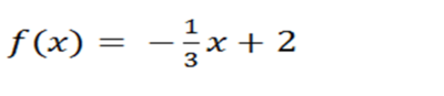
La gráfica que pertenece a la función
Cuál de los siguientes gráficos es el que pertenece a la función lineal
Cuál de las siguientes funciones pertenece a la gráfica vista a continuación:
f(x)=3
f(x)=-3
f(x)=2
(x)= -2
Encuentra la regla de asignación para la siguiente relación R= {(3,1), (4,2), (5,3), (6,)}
y=x
y=x+1
y=x--1
y=x—2
. ¿Cuál de los siguientes conjuntos está definido extensión?
A= {1, 2,3}
B= Los números del 1 al 3
C= {x | x N, 0<x < 4}
Los conjuntos A, B y C
Sea los conjuntos A={a,b,c} y B={1,2,3,4} el siguiente grafico representa el producto cartesiano:
AXA
AXB
BXA
BXB
Dado el conjunto de pares ordenados AXB. Encuentre los elementos del dominio. AXB = {(1,4), (1,5), (1,6), (2,4), (2,5), (2,6), (3,4), (3,5), (3,6)}.
a) X є {1,2,3}
X є {1,1,1,2,2,2,3,3,3}
Y є {1,2,3}
X є {4,5,6}
En la siguiente relación, el Rango de R está dado por:
X є {1,2,3}
Y є {a,d,b,c}
Y є {a,d,,c}
Y є {a, b, c, d}
Sea los conjuntos A= {1, 2,3} y B = {4,5,6} se tiene:
AXB={(1,4),(1,5),(1,6),(2,4),(2,5),(2,6),(3,4),(3,5) ,(3,6)}
BXA={(1,4),(1,5),(1,6),(2,4),(2,5),(2,6),(3,4),(3,5) ,(3,6)}
AXA={(1,4),(1,5),(1,6),(2,4),(2,5),(2,6),(3,4),(3,5) ,(3,6)}
AXB={(1,4),(1,5),(1,6),(2,4),(2,5),(2,6),(3,4),(3,5) ,(3,3)}
Cuál de las siguientes preposiciones es falsa
El producto cartesiano AXB no es igual al producto cartesiano BXA.
El conjunto vacío se representa {0}
En un par ordenado (x, y) ≠ (y, x).Es decir el orden de las componentes no puede ser cambiado.
Dos pares ordenados (x, y) y (a, b) son iguales cuando sus correspondientes componentes son iguales.
Determinar los valores de m y n en las igualdades de pares ordenados siguientes: (2m – 7, 12) = (5, n+2).
m=6 y n=10
m=10 y n=6
m=7 y n=2
m=-6 y n=10
Existen dos maneras de definir un conjunto dado:
Por extensión y Por comprensión
Por comprensión y Discriminación
Por Discriminación y Por extensión.
Ninguna de las anteriores.
A es un conjunto formado por todos los elementos x tal que x es un número natural mayor que 4 y menor que 11.
A = {x | x N, 4 > x < 11}
A = {x | x N, 4 > x > 11}
A = {x | x N, 4 < x < 11}
A = {x | x N, 4 < x > 11}
Un conjunto se determina por extensión cuando:
Se nombran todos sus elementos.
Se escribe la fórmula que origina los elementos.
Tiene un límite de elementos.
Todas las anteriores.