1° Resolver el siguiente ejercicio de proposiciones compuestas, mediante la tabla de verdad determinar si es una tautología, contingencia o contradicción. [(pvr)↔(r→q)]⊻(p˄q)}→(pvr)
1° Tautología
2° contradicción
3° contingencia
2° Resolver el siguiente ejercicio y determinar cuál de las siguientes alternativas es la correcta.
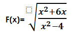
3° Mediante la resolución del siguiente ejercicio determinar el dominio correcto de la siguiente función.
a) dom (f)= (-∞,-6] U (2+∞)
b) dom (f)= (-∞,-4] U (2+∞)
c) dom (f)= (-∞,6] U (4+∞)
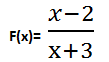
4° Determinar el dominio y el rango de la función y encerrar en un círculo la respuesta correcta.
a) dom (f)= (-∞,-3) U (-3, +∞) rg (f)= (-∞,1) U (1,+ ∞)
b) dom (f)= (-∞,-3) rg (f)= (-∞,-3) U (-3,+ ∞)
c) dom (f)= (-∞,-3) U (-3,+ ∞) rg (f)= (-∞,1) U (1,-3)
5.- resolver la siguiente Ecuación lineal y determinar cuál de las siguientes alternativas es la correcta.
a) X=6
b) X=3
d) X=4