El teorema fundamental del cálculo se puede aplicar bajo la condición de que
La función tiende a infinito
La función sea continua en el intervalo de integración
La función no sea continua en el intervalo de integración
La función no existe
Personaje que se interesó por la parábola, al estudiar la trayectoria de un proyectil y hallar la integral que expresa el espacio recorrido en un movimiento uniformemente acelerado.
PLATON
LEIBNIZ
GALILEO
NEWTON
Por primera vez utilizo el símbolo ∫ que aparece de estilizar la S de las sumatorias.
EINSTEIN
HAWKING
La derivada corresponde a la noción geométrica de:
Tangente
Velocidad
Curva
Círculo
La derivada corresponde a la idea física de
Tiempo
Espacio
Relatividad
la idea de integral está relacionada con la noción geométrica de
Triángulo
Perímetro
Area
Función trigonométrica
La idea de integral está relacionada con la noción física de
Esfuerzo
Trabajo
El conjunto de todas las antiderivadas de f(x)
Integral Compuesta
Derivada de f(x)
Integral Definida
Integral Indefinida
Según las propiedades de la integración ∫- f (x)dx es igual a?
-∫ f (x)dx
-∫ -f (x)dx
∫ f (-x)dx
-∫ f (x)-dx
Según las propiedades de la integración ∫ kf ( x)dx es igual a?
k ∫ f (kx)dx
k ∫ kf ( x)dx
∫ f ( x)dx
k ∫ f ( x)dx
Según las propiedades de la integración ∫kdx es igual a?
∫kdx
∫k ∫dx
kx+c
∫k+c
Según las propiedades de la integración ∫ [kf ( x ) ± kg ( x )]dx es igual a?
∫ kf ( x )dx
∫ kf ( x )dx ± ∫ kg ( x )dx
∫ kf ( x )dx ± kg ( x )dx
∫ kg ( x )dx
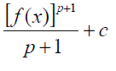
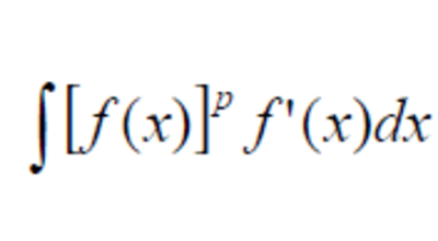
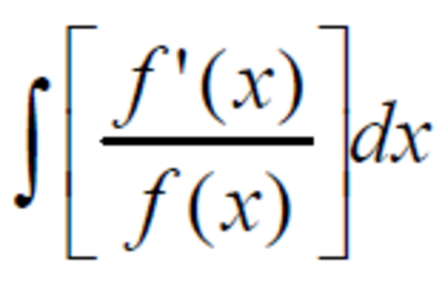
Según las propiedades de la integración, la función de la imagen es igual a?
Ln |f(x)| + c
f(x)+c
Ln (x)
Ln (c)
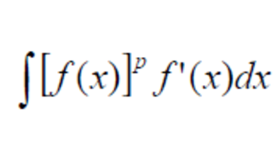
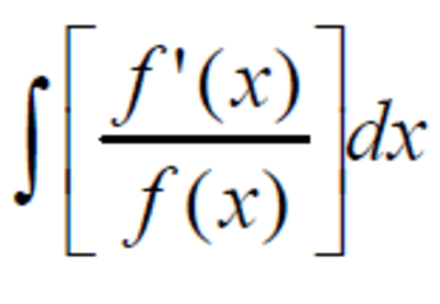
La imagen muestra
Teorema Fundamental del Cálculo
Suma de Riemman
Constante de Integración