The enzymes that catalyze oxidation and reduction reactions belong to class 1- oxidoreductases. Which are the subclasses of this class
oxidases
hydrolases
hydroperoxidases
oxygenases
transferases
dehydrogenases
Which enzymes play major role in the formation of energy in the respiratory chain:
lyases
ligases
Which of the following vitamins is not part of the multienzyme pyruvate dehydrogenase (PDH) complex?
lipoic acid
thiamine
biotin
niacin
riboflavin
Which of the following is TRUE:
PDH is active in its dephospho form
PDH is inhibited by increased [NADH]/[NAD+] ratio
PDH is inhibited by increased [ATP]/ [ADP] ratio
PDH is activated by its product acetyl-CoA
the respiratory chain is localized in the inner mitochondrial membrane
the respiratory chain is localized in the cytosol
the respiratory chain generates energy (ATP) from the oxidation of the major foodstuffs: fats, carbohydrates, amino acids
the respiratory chain consists of four protein complexes embedded in the inner mitochondrial membrane
Which of the following redox systems are not part of the respiratory chain:
CoQ/CoQ H2
NAD+/NADH
cyt. P450
cyt.c (Fe2+)/cyt.c (Fe3+)
FAD/FADH2
Which of the following enzymes catalyze the reduction of O2 to H2O
NADH- CoQ oxidoreductase
CoQ- cyt c oxidoreductase
cyt c oxidase
ATP synthase
Which of the following drugs and chemicals inhibit the electron transport in the respiratory chain:
Barbiturates
Antimycin A
CO
CN- (cyanide)
Rotenone
Oligomycin
Which of the following about ATP synthase is TRUE:
ATP synthase is embedded in the inner mitochondrial membrane, together with the other respiratory chain complexes
ATP synthase is located in the intermembrane space
The enzyme complex consists of F1 and F2 subcomplexes
Be flow of protons through ATP synthase causes the production of ATP
Which of the following about citric acid cycle is TRUE:
The cycle occurs in the cytosol
The cycle occurs in the mitochondria
The citric acid cycle is the final step for oxidation of carbohydrates, lipids and proteins
NADH and FADH2 obtained in the cycle are oxidized in the respiratory chain and ATP is formed
The cycle occurs in the endoplasmic reticulum
Which of the following enzymes participate in citric acid cycle:
hexokinase
transketolase
citrate synthase
succinate dehydrogenase
pyruvate carboxylase
Which of the following drugs and chemicals act as inhibitors of the electron transport in the respiratory chain:
Barbiturates (e.g. amobarbital)
CO and CN+
the initial reaction between acetyl-CoA and oxaloacetate to form citrate is catalyzed by aconitase
the α-ketoglutarate dehydrogenase complex requires the same cofactors as the PDH complex
succinate dehydrogenase contains FAD
as a result of the action of the dehydrogenases in the cycle 4 NADH and 1 FADH2 are produced per turn of the citric acid cycle
Which of the following metabolites are not intermediates of the citric acid acid cycle:
fumarate
succinyl-CoA
lactate
oxaloacetate
phosphoenolpyruvate
Which of the following about α-ketoglutarate dehydrogenase complex is TRUE:
it is inhibited by ATP, NADH, succinyl-CoA
it is activated by ATP, NADH, succinyl-CoA
it is activated by Ca2+
one of its cofactors lipoic acid
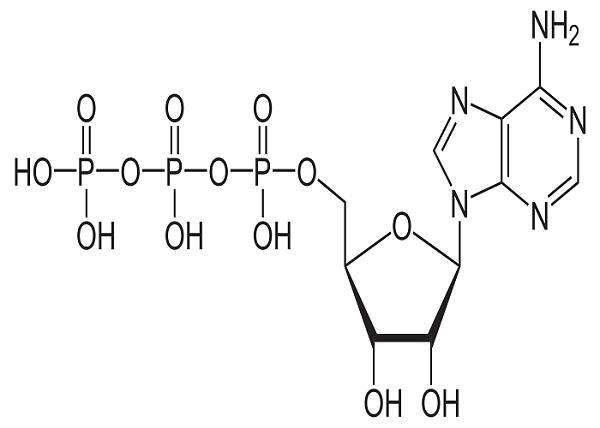
What is this?
Which of the following cytochromes are not part of the mitochondrial respiratory chain:
cyt. c1
cyt. c
cyt. b5
cyt, a
Which of the following statements about respiratory chains are true?
They are located in the inner mitochondrial membrane
They are located in the endoplasmic reticulum
They should be coupled with ATP synthase
Cyanides and CO can block forth complex of respiratory chain
Barbiturates can block second complex of respiratory chain
Which of the following about Krebs cycle are true?
It is a terminal common pathway for oxidation of all the substrates produced by the biological oxidation
Four metabolites from Krebs cycle donate H2 for the respiratory chains
Some of its metabolites can be used for biosynthesis
It can occur both in aerobic and anaerobic conditions
How many molecules of ATP will be provided by succinate dehydrogenase reaction from Krebs cycle?
0
1
2
3
4
Examples of oxidative phosphorylation at substrate level are:
Isocitrate dehydrogenase reaction
Oxidative decarboxylation of α-ketoglutarate
Glyceraldehyde-3-phosphate dehydrogenase reaction
Malate dehydrogenase reaction
Enolase reaction
Which of the following statements oxidoreductases of biological oxidation are true?
They are always two-component enzymes
The Cofactor is always a redox system
They can be simple enzymes
Oxygenases are oxidoreductases
Dehydrogenases are oxidoreductases
Kinases are oxidoreductases
All the cytochromes contain as prosthetic group
NAD
FAD
Iron (Fe)- containing heme
Biotin
Vit. C
ADP/ATP system plays a key role in bioenergetics because:
ATP is the richest in energy compound
ATP can donate macroergic phosphoryl group to low-energy compounds and thus activate them
ADP can affect macroergic phosphoryl group from richer than ATP energy compunds
ATP has the middle position between the high and the low energy compounds according to the energy released during the hydrolysis of their bonds
Which of the following component of respiratory chain act as H+ pumps?
Cyt bc1 oxido-reductase
Cyt NADH- Co Q oxido-reductase
Cyt c oxidase
Succinate - Co Q. oxido-redudase
Which of the following statements about Pyruvate dehydrogenase complex are true
One of its enzymes is pyruvate carboxylase
One of its cofactors. is pyridoxal phosphate
It is active in its dephosphorylated form
It is located in the cytoplasm
It is an example of oxidative phosphorylation at substrate level
Which of the following act as uncouplers of the respiratory chain:
Thyroid Hormones
2.4-dinitrophenol
ATP Synthase is located in the intermembrane space
The enzyme complex consists of F0 and F1 subcomplexes
The flow of protons through ATP synthase causes the production of ATP
pyruvate kinase
fumarase
glucokinase
Which of the following about citric acid cycle represent its amphibolic role:
it provides substrates for gluconeogenesis
the citric acid cycle is only for oxidation of acetyl-CoA
it provides substrates for amino acids synthase
the citric acid cycle is the final step for oxidation of carbohydrates, lipids and proteins
it takes part in fatty acid synthesis
Which of the following are high energy compounds:
Creatine phosphate
GTP
Acetyl~CoA
Glucose-6-phosphate
Citrate
Which of the following vitamins is not part of the multi-enzyme pyruvate dehydrogenase (PDH) complex?
folic acid
the respiratory chain is localized in the endoplasmic reticulum
the respiratory chain generates energy (ATP) from the oxidization of the major foodstuffs: fats, carbohydrates, amino acids
one of the cytochromes in the respiratory chain is cyt. P450
Respiratory chain:
Can function only in aerobic conditions
Can function independently on the presence of oxygen
Is located in the inner mitochondria! membrane
Is located in the outer mitochondrial membrane
Is located in the mitochondrial matrix
Energy can be created in reactions catalyzed by:
Transferases
Lygases
Oxidoreductases
lsomerases
Oxidative phosphorylation:
Can be executed only at substrate level
Can be executed only in respiratory chains
Can be executed both at substrate level and in respiratory chains
Doesn't create energy
Is the process of accumulation energy in ATP-form at the expense of oxidation of a substrate
Which of the following statements about Pyruvate dehydrogenase complex are true?
It is composed of 3 enzymes, working together with 5 Cofactors
It located in the cytoplasm
ls one of the major donors of Acetyl Co A for Krebs cycle
ls activated by pyruvate, NAD and CoA, inhibited by NADH, and Acetyl Co A
ls regulated through reversible covalent modification
Which of the following about the processes of oxidation and reduction is true:
A chemical compound which is oxidized during the process of oxidation is known to be a reducer
A chemical compound which is oxidized during the process of oxidation is an oxidizer
A chemical compound which is reduced during the process of reduction is known to be a reducer
A chemical compound which is reduced during the process of reduction is known to be an oxidizer
Oxidation and reduction are coupled processes, mostly
Which of the following is low energy phosphate
Phosphoenolpyruvate
Creatine Phosphate
Glucose 6-phosphate
Fructose 6-phosphate
Glycerol 3-phosphate
Which of the following about FAD and FMN is true?
FAD and FMN are vitamin PP derivatives
FAD and FMN are vitamin B2 derivatives
FAD and FMN are vitamin B6 derivatives
FAD and FMN participate in bioenergetics as electron carriers
FAD and FMN are coenzymes of enzymes called dehydrogenase and oxidases mostly
Which of the following is true?
hydroperoxidases are two types of enzymes: peroxidases and catalase
hydroperoxidases use hydrogen peroxide as electron donor
hydroperoxidases contain NAD or NADP as coenzyme
hydroperoxidases contain FAD or FMN as coenzyme
hydroperoxidases contain heme or protoheme as coenzyme
How many molecules of ATP are synthesized in the citric acid cycle per turn?
6
12
36
38
Complex 3 of the respiratory chain
accepts electrons and protons from coenzyme Q
is consisted of enzymes which operate with cytochromes as coenzymes
transfers electrons and protons from coenzyme Q to cytochrome C
transfers electrons and protons directly to oxygen
is "loaded" with electrons and protons from different substrates via NAD
How many molecules of NAD are reduced per turn in the citric acid cycle?
5
all enzymes of citric acid cycle are placed in mitochondria
there is an enzyme, involved in the citric acid cycle, which is anchored to the inner mitochondrial membrane
all enzymes of citric acid cycle are placed in cytosol
all enzymes of the citric acid cycle are place in the mitochondrial matrix
some of the enzymes of the citric acid cycle are places in the cytosol and other are placed in mitochondrion