MATEMÁTICA BASICA FORMULAS, LEYES Y CONCEPTOS BÁSICOS

Description

FORMULAS, LEYES Y CONCEPTOS BÁSICOS QUE NECESITAS SABER PARA APROBAR EL CURSO DE MATE
marifer.alvarado7
Flashcards by marifer.alvarado7, updated more than 1 year ago
marifer.alvarado7
Created by marifer.alvarado7 about 11 years ago
190
4

Resource summary

Question Answer
Suma y Resta de fracciones Algebraicas a +- c b d = a.d +- bc bd
Multiplicación de Fracciones a x c b d = a x c b x d =a.c b.d
División de Fracciones a / c b d = a.d b.c
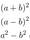
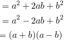
Fórmulas Notables
Practicar
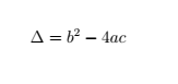
¿Discriminante?
¿Fórmula General ?
Fórmula del Área
Show full summary Hide full summary

Similar

Derivadas
erendira.aviles
CÁLCULOS con [ 3 · 5 · 7 ]
JL Cadenas
Matrices y Determinantes
Diego Santos
Preguntas del Pensamiento Matemático
Diego Santos
Factorización de Expresiones Algebráicas
maya velasquez
Ensayo PSU Matemáticas
Diego Santos
Integrales Indefinidas
Rupert012
El número pi
angel tamayo
EL RINCÓN DE MATEMÁTICAS
dolorstodoli
Test de Física - Selectividad
Virginia Vera
formulas físicas basica
michelkiss25