|
Created by SCOTTxRT bernard
over 7 years ago
|
|
Question | Answer |
AMITRIPTILINA | |
IMIPRAMINA | |
CLOMIPRAMINA | |
DESIPRAMINA | |
NORTRIPTILINA | |
FENELZINA | |
TRANILZIPROMINA | |
MOCLOBEMIDA | |
SELEGILINA | |
SEROTONINA | |
TRIPTOFANO | |
VENLAFAXINA | |
REBOXETINA | |
MAPROTILINA | |
VILOXAZINA | |
BUPROPION | |
MIRTAZAPINA | |
MIANSERINA | |
MIRTAZAPINA | |
NEFAZODONA | |
TRAZODONA | |
SELEGILINA | |
SERTRALINA | |
CITALOPRAM | |
FLUOXETINA | |
FLUVOXAMINA | |
PAROXETINA | |
FLUVOXAMINA | ISRS |
FLUOXETINA | ISRS trastornos depresivos, el trastorno obsesivo-compulsivo (TOC), la bulimia nerviosa y el trastorno disfórico premenstrual. |
PAROXETINA | ISRS depresión clínica , (TOC),(TAC), transtorno de pánico , trastorno por estrés postraumático (TEPT), trastorno de ansiedad generalizada (TAG) y trastorno disfórico premenstrual (TDPM). |
CITALOPRAM | ISRS antidepresivo, analgesico |
SERTRALINA | ISRS antidepresivos y ansiolíticos depresión, el trastorno obsesivo-compulsivo, el trastorno de pánico, la fobia social y el trastorno disfórico premenstrual |
FENELZINA | IMAO depresiones atípicas y de aquellas que no responden a otros medicamentos, así como en el tratamiento de la ansiedad pronunciada. |
TRANILCIPROMINA | IMAO depresión y la ansiedad |
MOCLOBEMIDA | IMAO-A depresión y la ansiedad social |
SELEGILINA | IMAO-B antiparkinsoniano y antidepresivo |
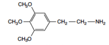
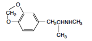
Distancia en angstrom entre el anillo a la amina para efecto antidepresivo | 5 ángstrom |
Nombra tres tratamientos no farmacológicos para tratar la depresión | psicoterapia terapia electroconvulsiva (ECT) Estimulación magnetica |
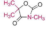
ATC son mas selectivos por el transportador de NA, excepto la | CLOMIPRAMINA |
Si a un ATC le quitamos el grupo benceno pierde su actividad | SI |
Si a un ATC le sacamos el puente C10 - C11 y lo cambiamos por etileno o vinil, pierde su actividad | NO |
En un ATC su amina es terciaria, es mas selectiva por el transportador 5-HT | SI |
En un ATC su amina es secundaria, es mas selectiva por el transportador 5-HT | NO |
FLUOXETINA Y FLUVOXAMINA, inhiben la síntesis de dopamina, lo cual podría generar : | EPS |
ISRS puede causar analgesia? | SI por mecanismos endógenos de la anti nocicepción de naturaleza triptaminérgica |
ISRs generan insomnio | Si, Es una RAM |
TRAZODONA | Antidepresivo atípico bloquea recaptación de serotonina Bloquea receptores adrenergico alfa Bloquea receptores serotoninérgicos 5HT-2 |
NEFAZODONA | Antidepresivo atípico bloquea recaptación de serotonina Bloquea receptores adrenergico alfa2 presinaptico ( promueve aumento de recambio NE) Bloquea receptores serotoninérgicos 5HT-2 |
MIANSERINA | Antidepresivo atípico tetra cíclico Sedante bloquea recaptación de serotonina Bloquea receptores adrenergico alfa2 presinaptico ( promueve aumento de recambio NE) Bloquea receptores serotoninérgicos 5HT-2 Bloquea receptores H1 |
MIRTAZAPINA | Antidepresivo atípico tetra cíclico Bloquea receptores serotoninérgicos 5HT-2, 5HT-3, Pero no tiene afinidad por 5HT-1A , 5HT-1B Bloquea receptores H1 Antagonista moderado alfa1 periferico |
BUPROPION | Antidepresivo atípico tetra cíclico Inh de la recaptación de dopamina |
VILOXAZINA | Antidepresivo atípico Inhibe recaptación NE |
MAPROTILINA | Antidepresivo atípico tetra cíclico ISR NE |
REBOXETINA | Antidepresivo atípico tetra cíclico ISR NE altamente selectivo |
VENLAFAXINA | Antidepresivo atípico ISRS ISRD ISRNE Pero sin efectos muscarinicos, ni H1 ni alfa-adrenergico |
HALOTANO | |
Halotano | El Halotano es un vapor para inhalación usado en la anestesia general. |
OXIDO NITROSO | |
Oxido nitroso | es un gas incoloro con un olor dulce y ligeramente tóxico, con efecto anestésico y disociativo. |
PROPOFOL | |
FOSPROPOFOL | |
ETOMIDATO | |
KETAMINA | |
Image:
Benzocaína (image/png)
|
BENZOCAINA |
LIDOCAINA | |
MEPIVACAINA | |
BUPIVACAINA | |
LIDOCAINA | Anestésico local |
BUPIVACAINA | Anestésico local |
MEPIVACAINA | Anestésico local |
BENZOCAINA | Anestésico local |
KETAMINA | Anestésico Intravenoso |
ETOMIDATO | Anestésico Intravenoso modulador (+) GABAa reduce el cortisol plasmatico y niveles de aldosterona , osea quedas sin defenzas. pero no tiene efectos cardiacos, solo se usa en induccion de la anestesia |
FOSPROPOFOL | Anestésico Intravenoso |
PROPOFOL | Anestésico Intravenoso Modulador positivo GABAa Se une en un lugar distinto a las BDZ por lo cual la flumazenilo no funciona como antidoto No es analgesico |
ISOFLURANO | |
ISOFLURANO | Anestésico Inhalatorio |
PICROTOXININ | |
PENTILENTETRAZOL | |
MODAFINILO | |
DOXAPRAM | |
CAFEINA | |
TEOFILINA | |
TEOBROMINA | |
ANFETAMINA | |
METANFETAMINA | |
FENTERMINA | |
Image:
V Zrg23 R (image/png)
|
BENZANFETAMINA |
Image:
F Lx Ivp2 (image/png)
|
SIBUTRAMINA |
METILFENIDATO | |
Image:
4 Rkq3n A (image/png)
|
PEMOLINA fuera del mercado |
Image:
4ksqq Gz (image/png)
|
DMT Dimetiltriptamina |
Image:
Lp5m Be W (image/png)
|
PSILOCIBINA hongo |
Image:
Q Mh5 Y Dh (image/png)
|
PSILOCINA hongo |
Image:
X1q Rh Cv (image/png)
|
MESCALINA peyote |
Image:
Dzp1 Jt X (image/png)
|
DMDA extasis |
Image:
Mp T Yn Ia (image/png)
|
FENCICLIDINA |
Image:
E Yx4 H5v (image/png)
|
COCAINA |
Image:
A Ann0cl (image/png)
|
BENZOILECGONINA |
Image:
29 Z7 Rll (image/png)
|
ECGONINA |
Image:
Aq Tjiqe (image/png)
|
THC |
Image:
Pab Ms Sy (image/png)
|
ANANDAMIDA palabra sánscrita "ananda" (beatitud interior o portador de paz y felicidad interna) |
PICROTOXININ | ANALEPTICO TRADICIONAL antagonista no competitivo de los receptores GABAa |
PENTILENTETRAZOL | ANALEPTICO TRADICIONAL induce epilepsia.convulsivante agonista glutamatergico |
MODAFINILO | ANALEPTICO TRADICIONAL mentix para tratar la narcolepsia |
DOXAPRAM | ANALEPTICO TRADICIONAL estimulante respiratorio post operatorio IV, Nunca a recien nacidos! |
CAFEINA | XANTINA Estimulante del SNC broncodilatador en asma |
TEOFILINA | XANTINA Estimulante del SNC |
TEOBROMINA | XANTINA no terapeutico |
ANFETAMINA | SIMPATICOMIMETICO central |
METANFETAMINA | SIMPATICOMIMETICO central |
FENTERMINA | SIMPATICOMIMETICO |
BENZANFETAMINA | SIMPATICOMIMETICO |
SIBUTRAMINA | SIMPATICOMIMETICO La sibutramina es un fármaco anorexígeno utilizado para tratar la obesidad. La FDA ha ordenado suspender la comercialización de este medicamento en Estados Unidos debido a sus efectos perjudiciales sobre el aparato cardiovascular. |
METILFENIDATO | SIMPATICOMIMETICO |
PEMOLINA | SIMPATICOMIMETICO sumamente toxico no en el mercado |
DMT Dimetiltriptamina | AGENTES MISCELANEOS alucinogeno ansiedad miedo panico |
PSILOCIBINA | AGENTES MISCELANEOS alucinogeno hongo |
PSILOCINA | AGENTES MISCELANEOS alucinogeno |
MESCALINA | AGENTES MISCELANEOS alucinógeno peyote |
DMDA | AGENTES MISCELANEOS alucinógeno éxtasis |
FENCICLIDINA | AGENTES MISCELANEOS PCP alucinógeno diferente a los anticolinergicos bloquea receptores NMDA anestésico disociativo |
COCAINA | AGENTES MISCELANEOS estimulante anestesico local bloquea recaptacion DA |
BENZOILECGONINA | AGENTES MISCELANEOS estimulante anestésico local bloquea recaptación DA |
ECGONINA | AGENTES MISCELANEOS alcaloide tropano |
THC | AGENTES MISCELANEOS antiemético serotoninérgico |
ANANDAMIDA | AGENTES MISCELANEOS precursor de las prostaglandinas |
Image:
L82u A Uj (image/png)
|
CANABIDIOL |
CANABIDIOL | AGENTES MISCELANEOS Analgesico |
Image:
2fs2971 (image/png)
|
FENITOINA |
Image:
4 Fxl0ol (image/png)
|
CARBAMAZEPINA |
Image:
Ixevsft (image/png)
|
LAMOTRIGINA |
Image:
Bd K Vl Jd (image/png)
|
PROGRABIDA |
Image:
Ar6 Rrk8 (image/png)
|
VALPROATO |
Image:
7s5 Jwk6 (image/png)
|
CLONAZEPAM |
Image:
Fxkd F6y (image/png)
|
FENOBARBITAL |
Image:
Dm Vv Ew5 (image/png)
|
ESTIRIPENTOL |
https://i.imgur.com/LORRXfP.png
Image:
Lorr Xf P (image/png)
|
TIAGABINA |
Image:
Es5 Uh3w (image/png)
|
VIGABATRINA |
Image:
Vm Kdp Wy (image/png)
|
MEFOBARBITAL |
Image:
T6lte Xe (image/png)
|
PRIMIDONA |
Image:
Zanct7y (image/png)
|
DIAZEPAM |
Image:
Ybg H2v1 (image/png)
|
CLONAZEPAM |
Image:
Au4 Hjp L (image/png)
|
LORAZEPAM |
Image:
7gi O6 Ya (image/png)
|
CLORAZEPATO |
Image:
V Qms A3 R (image/png)
|
MIDAZOLAM |
Image:
Up0 S30 R (image/png)
|
DIZOCILPINA |
Image:
Vx Ct Yw3 (image/png)
|
FELBAMATO |
Image:
Af Vo Wj C (image/png)
|
ETOSUXIMIDA |
Image:
Hrip Dkf (image/png)
|
METSUXIMIDA |
Image:
L Q Iqah L (image/png)
|
FENSUXIMIDA |
Image:
U7j Sc Xa (image/png)
|
DIMETADIONA |
Image:
Y Gu4xxm (image/png)
|
TRIMETADIONA |
Image:
I Ul9i Pw (image/png)
|
CARBAMAZEPINA EPOXIDO |
Image:
Fc0w Sm X (image/png)
|
OXCARBAMAZEPINA |
Image:
L6 S Zm Qg (image/png)
|
PROGABIDA |
Image:
Wo Yx Rc A (image/png)
|
GABAPENTINA |
Image:
8 Ef C Pb X (image/png)
|
LAMOTRIGINA |
Image:
O Sp Vu Bk (image/png)
|
PREGABALINA |
Image:
Q N Ad Cyt (image/png)
|
TOPIRAMATO |
Image:
U E8 Bx Su (image/png)
|
L-TIROSINA |
Image:
K Wa S4t L (image/png)
|
L-DOPA |
Image:
5a8g Raj (image/png)
|
DOPAMINA |
Image:
9 Y Uuct V (image/png)
|
NOREPINEFRINA |
Image:
6 Yc Oe3 Q (image/png)
|
EPINEFRINA |
Image:
Kg Uj7 Dh (image/png)
|
LEVODOPA |
Image:
Ef Trhpv (image/png)
|
CARBIDOPA |
Image:
Wo E Fge4 (image/png)
|
BENSERAZIDA |
Image:
Rhb Ne9i (image/png)
|
ENTACAPONE |
Image:
W82a K76 (image/png)
|
TOLCAPONE |
FENITOINA | ANTIEPILEPTICO INH CANALES DE Na REDUCE LIBERACION AC. GLUTAMICO |
CARBAMAZEPINA | ANTIEPILEPTICO INH CANALES DE Na |
LAMOTRIGINA | ANTIEPILEPTICO Inh canales de Na reduce liberacion de ac. glutamico util mioclonico, ausencia |
PROGABIDA | ANTIEPILEPTICO Pot Inh GABAergica |
VALPROATO | ANTIEPILEPTICO Pot Inh. Gabaérgica Inh. canales de Ca |
CLONAZEPAM | BDZ, ANTIEPILEPTICO Pot Inh GABAergica. Inh canales de GLUTamatergica |
FENOBARBITAL | BARBITURICO, ANTIEPILEPTICO. Pot Inh GABAergica. |
ESTIRIPENTOL | ANTIEPILEPTICO Pot Inh GABAergica. |
TIAGABINA | ANTIEPILEPTICO Pot Inh GABAergica. |
VIGABATRINA | ANTIEPILEPTICO Pot Inh GABAergica. |
MEFOBARBITAL | ANTIEPILEPTICO BARBITURICO Inh GABAergica. |
PRIMIDONA | ANTIEPILEPTICO BARBITURICO Pot Inh GABAergica |
DIAZEPAM | BDZ, ANTIEPILEPTICO Pot Inh GABAergica. |
LORAZEPAM | BDZ,ANTIEPILEPTICO Inh exc GLUTamatergica |
CLORAZEPATO | BDZ,ANTIEPILEPTICO Inh exc GLUTamatergica |
MIDAZOLAM | BDZ,ANTIEPILEPTICO Inh exc GLUTamatergica |
DIZOCILPINA | ANTIEPILEPTICO Inh exc GLUTamatergica Antagoniza receptor NMDA |
FELBAMATO | ANTIEPILEPTICO Inh exc GLUTamatergica Antagoniza receptor NMDA |
ETOSUXIMIDA | ANTIEPILEPTICO Inh canales de calcio Usado en crisis de ausencia |
METOSUXIMIDA | ANTIEPILEPTICO Inh canales de calcio Usado en crisis de ausencia |
FENSUXIMIDA | ANTIEPILEPTICO Inh canales de calcio Usado en crisis de ausencia |
DIMETADIONA | ANTIEPILEPTICO Inh canales de calcio |
TRIMETADIONA | ANTIEPILEPTICO Inh canales de calcio |
CARBAMAZEPINA EPOXIDO | ANTIEPILEPTICO Inh canales de Na |
OXCARBAMAZEPINA | ANTIEPILEPTICO Inh canales de Na |
GABAPENTINA | Agente Antiepiléptico Misceláneo GABA mimético indirecto |
TOPIRAMATO | Agente Antiepiléptico Misceláneo y estabilizador del estado de ánimo bloquea canales Na Antagonista GLUT ->Kainato con bloqueo efecto glutamato |
Image:
Hyge6 Bn (image/png)
|
BROMOCRIPTINA |
Image:
Un N9 Af J (image/png)
|
PERGOLIDA |
Image:
Ws5 Eks G (image/png)
|
CABERGOLINA |
Want to create your own Flashcards for free with GoConqr? Learn more.