Campo magnético

GoConqr Review

Fichas de estudio sobre ecuaciones de física (magnetismo).
Diego  Santos
Flashcards by Diego Santos, updated more than 1 year ago More Less
Victor Rodriguez
Created by Victor Rodriguez almost 11 years ago
Diego  Santos
Copied by Diego Santos almost 11 years ago
5510
46

Resource summary

Question Answer
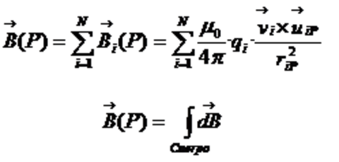
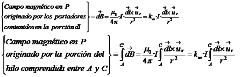
Ecuación de campo magnético
Principio de superposición del campo magnético
Ley de Biot- Savart
Ley de Faraday-Lenz: Experimentos -Movimiento relativo de imán y espira (corriente inducida). -Movimiento relativo de imán y bobina. -Movimiento relativo de dos circuitos con sendas bobinas, una con batería y otra sin ella. -Apertura y cierre de un circuito con batería próximo a otro sin batería. -Una bobina en circuito abierto sometida a las experiencias de los casos B,C y D anteriores.
Ley de Faraday La f.e.m. inducida en un circuito es numéricamente igual a la variación temporal del flujo magnético que atraviesa el circuito
la Ley de Lenz La f.e.m. inducida es tal que esta tiende a producir una corriente la cual crea un flujo magnético que se opone al cambio en el flujo magnético a través del circuito que se está intentando producir
la Ley de Faraday-Lenz
Show full summary Hide full summary

Similar

TEST REPASO BIOLOGÍA CELULAR
VICTOR MANUEL VITORIA RUIZ
Diferencias entre la Química y Física
maya velasquez
Biología Celular
maya velasquez
Física: Conceptos Básicos
maya velasquez
Diferencias entre la Química y Física
preciosa-merry-2
La Ley de la Gravedad
maya velasquez
Test de Nombres de Alimentos en Inglés
Virginia Vera
Miguel de Unamuno
Diego Santos
Historia Contemporánea: Los fascismos
María Salinas
Arte Barroco
juanmadj
QUÍMICA, PASAPALABRA...
JL Cadenas