Ecuaciones diferenciales de 1er orden

Description

Las ecuaciones diferenciales de primer orden.
maya velasquez
Flashcards by maya velasquez, updated more than 1 year ago More Less
Victor Rodriguez
Created by Victor Rodriguez almost 11 years ago
maya velasquez
Copied by maya velasquez almost 11 years ago
462
11

Resource summary

Question Answer
¿Qué es una ecuación? Una igualdad
Definición Ecuación Diferencial Cualquier ecuación que relacione una función desconocida con su variable o variables independientes y alguna de sus derivadas. Cuando la función incógnita depende de una sola variable independiente entonces las derivadas que aparecerán en la ecuación serán ordinarias y serán ecuaciones diferenciales ordinarias.
Tipos de Ecuaciones diferenciales 1. EDO: cuaciones diferenciales ordinarias. 2. EDP: Ecuaciones diferenciales en derivadas parciales
Orden de una EDO
Expresión General de una EDO
Expresión normal o canónica
Solución particular de una EDO
Solución singular Se llama solución singular a cualquier solución particular de la ecuación que no se pueda deducir a partir de su solución general.
Expresión implícita
Función n-paramétrica de curvas
Interpretar una función n-paramétrica de curvas como una solución general de una ecuación de orden n Bastará con eliminar los parámetros C1,C2,...,Cn a partir de la expresión dada y de las "n" derivadas sucesivas respecto de la variable "x"
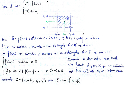
Problemas de valor inicial o de Cauchy:
Problemas de valor inicial o de Cauchy: TIpos Nos encontramos con un problema de valor inicial o de Cauchy si las condiciones iniciales vienen dadas en vez de un punto "Xo", si vienen en diferentes puntos entonces en vez de decir que tenemos un problema de valor inicial, se dice que se tiene un problema de contorno.
Teorema de existencia (PEANO)
Teorema de existencia y unicidad
Teorema de existencia y unicidad de solucion (teroema de Picard)
Pasos para determinar un PVI 1.-Ver si el problema puede tener solución 2.-Determinar si esa solución va a ser única
Expresión general de una EDO de 1er Orden
Expresión normal de una EDO de 1er Orden
Ecuaciones de Variables Separables
Ecuaciones Homogeneas
Ecuaciones homogéneas: Resolución
EDO exactas
EDO exactas: Resolución
Ecuaciones reducibles a exactas: Factor integrante
Ecuaciones reducibles a exactas: Factor integrante (Resolución)
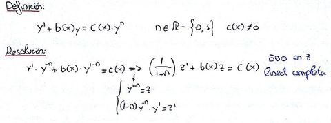
Ecuaciones lineales de 1er Orden
Operador lineal "L"
Ecuaciones lineales de 1er orden: Propiedades
Método para resolver una Ecuación lineal completa.
Ecuaiones de Bernouilli
Ecuaciones de Ricatti
Trayectorias ortogonales
Show full summary Hide full summary

Similar

Nietzsche: Estudio sobre la Ética
maya velasquez
Factorización de Expresiones Algebráicas
maya velasquez
Física: Conceptos Básicos
maya velasquez
Ecuaciones (Primer Grado)
Diego Santos
Historia de la Filosofía
maya velasquez
Fórmulas Geométricas (Perímetros)
Diego Santos
7 Técnicas para Aprender Matemáticas
maya velasquez
Matemáticasen la VidaCotidiana
Diego Santos
FRACCIONES...
JL Cadenas
Cómo Preparar el Examen de Matemáticas de Selectividad
Virginia León
FRACCIONES...
Ulises Yo