Ecuaciones cuadradas

Description

fichas sobre ecuaciones cuadradas incompletas y completas
César Augusto Romero Luisillo
Flashcards by César Augusto Romero Luisillo, updated more than 1 year ago
César Augusto Romero Luisillo
Created by César Augusto Romero Luisillo almost 11 years ago
115
2

Resource summary

Question Answer
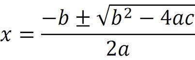
Formula General para resolver Ecuaciones Cuadradas
realiza la siguiente factorización: x2+6x-40x=0 (x+10)(x-4)=0
solución a la siguiente ecuación cuadrada incompleta 8x2+40x=0 x1=0 x2=-5
resuelve la siguiente ecuación cuadrada incompleta 16x2-49=0 x1=- 7/4 x2= 7/4
resuelve la siguiente ecuación cuadrada por factorización 4x2 +18x +8=0 (x+4)(x+1/2)=0 x1=-4 x2=-1/2
Show full summary Hide full summary

Similar

Ecuaciones de Segundo Grado
Diego Santos
Ecuaciones de segundo grado
tama_futbol
Formula General
Constanza Rojas
ecuaciones cuadras teoría y ejercicios
César Augusto Romero Luisillo
Ecuación Cuadrática
omarg06
Matesfacil
Jose L
Fichas Ecuaciones Cuadráticas Ana Sofia Pacheco Alvarez 10-1
Ana Sofia Pacheco Alvarez
Matemáticas especificas
CUDI .
Fast solving equations
ALBERTO GARCIA DIAZ
Función Cuadrática
Eddie Quesada Blanco
FUNCIÓN CUADRÁTICA - EJERCICIOS
VERONICA ALTAMIRANO VALAREZO