Biosíntesis In Novo de Purinas

Description

Flashcards on Biosíntesis In Novo de Purinas, created by Chemu Lop on 17/02/2015.
Chemu Lop
Flashcards by Chemu Lop, updated more than 1 year ago
Chemu Lop
Created by Chemu Lop almost 11 years ago
208
0

Resource summary

Question Answer
Sustrato = Ribosa-5-fosfato Producto = PRPP Entra = ATP Sale = AMP Donde = PP se une al O del C1
Sustrato = PRPP Producto = 5-fosfo-ribosilamina Entra = Glutamina + agua Sale = Glutamato + PPi Donde = Amino se une al C1
Sustrato = 5-fosfo-ribosilamina Producto = Glicinamina-R5P Entra = Glicina + ATP Sale = ADP + Pi Donde = Glicina se une a la amina del C1
Sustrato = Glicinamina-R5P Producto = Formil-glicinamina-R5P Entra = MH4F (metenil tetrahidro folato) Sale = H4 Folato (tetrahidro folato) Donde = Se une un metil al N7 de la glicina
Sustrato = Formil-glicinamina-R5P Producto = Formil-glicinamidina-R5P Entra = Glutamina (En presencia de ATP y Mg2+) Sale = Glutamato Donde = Se sustituye un amino por el O del C4
Sustrato = Formil-glicinamidina-R5P Producto = Amino-imidazol-R5P Entra = -- Sale = Agua Donde = RC en N9-C8, se pierde doble enlace del N3-C4
Sustrato = Amino-imidazol-R5P Producto = Amino-imidazol-carboxilato-R5P Entra = CO2 Sale = -- Donde = Se une el CO2 al C5
Sustrato = Amino-imidazol-carboxilato-R5P Producto = Amino-imidazol-succinil-carboxinamida Entra = Aspartato Sale = Agua Donde = Aspartato se une en el C6
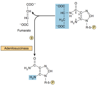
Sustrato = Amino-imidazol-succinil-carboxinamida-R5P Producto = Amino-imidazol-carboxamida-R5P Entra = -- Sale = Fumarato Donde = Fumarato sale del N1
Sustrato = Amino-imidazol-carboxinamida-R5P Producto = Amino-imidazol-carboxamida-formil-R5P Entra = MH4F Sale = H4 Folato Donde = Metil se une al N3
Sustrato = Amino-imidazol-carxinamida-formil-R5P Producto = IMP Entra = -- Sale = Agua Donde = RC en N1-C2
Sustrato = IMP Producto = Adenilosuccinato (AMPS) Entra = Aspartato Sale = Agua Donde = Sustituye al O del C6
Sustrato = Adenilosuccinato Producto = AMP Entra = -- Sale = Fumarato Donde = Sale fumarato del N del C6
Sustrato = IMP Producto = XMP Entra = NAD+ y Agua Sale = NADH y H+ Donde = Se pierde doble enlace y se forma uno con O en el C2
Sustrato = XMP Producto = GMP Entra = Glutamina Sale = Glutamato Donde = El N sustituye al O del C2
Show full summary Hide full summary

Similar

El internet de las cosas
David-Camilo-095
Biosíntesis de Pirimidinas
Chemu Lop