Temas Selectos de Química

Description

Flashcards on Temas Selectos de Química, created by JONATHAN YAHIR FLORES PACHECO on 19/02/2020.
JONATHAN YAHIR FLORES PACHECO
Flashcards by JONATHAN YAHIR FLORES PACHECO, updated more than 1 year ago
JONATHAN YAHIR FLORES PACHECO
Created by JONATHAN YAHIR FLORES PACHECO over 5 years ago
77
0

Resource summary

Question Answer
Ley de los gases ideales Es la simplificación de un gas ideal a un gas real. Es decir, ver lo que no vemos de los gases debido a su tamaño molecular a medidas de 3 variables. Presión, temperatura y volumen.
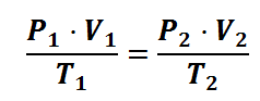
Ley combinada de los gases Relacionado a lo anterior, esta ley muestra las tres variables. También pone en conjunto la Ley de Charles, Ley de Boyle y la Ley de Gay-Lussac.
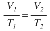
Ley de Charles Usada para representar las transformaciones de un gas en su volumen y temperatura a una presión constante.
Ley de Gay-Lussac Usada para representar las transformaciones de un gas en su presión y temperatura a un volumen constante.
Ley de Boyle Usada para representar las transformaciones de un gas en su volumen y presión a una temperatura constante.
Un mol de sustancia es la cantidad de partículas como átomos que hay en exactamente 12 gramos (0.012 Kg) del isótopo carbono 12. El volumen que ocupa un mol de cualquier gas es de 22.4 L en condiciones normales (273.15 °C ó 1 K y 1 atm). A este se le llama volumen molar del gas.
Ley de Avogadro “Volúmenes iguales de distintas sustancias gaseosas, medidos en las mismas condiciones de presión y temperatura, contienen el mismo número de partículas”
P=Presión V=Volumen n= Número de moles R=Constante de los gases ideales T=Temperatura
Constante de los gases ideales Es una constante universal estandarizada que establece una relación entre el volumen, la presión, la temperatura y la cantidad de materia.
Ley de Dalton "La suma de las presiones parciales de cada gas es igual a la presión total de la mezcla de gases"
Ley de Dalton Postulaba que se puede calcular la presión total con la ecuación: Ley de Dalton Otra forma para expresarlo de manera más sencilla fue la siguiente. Donde Pi es la presión parcial, Xi la fracción molar y P la presión total.
Ley de Graham "Bajo condiciones similares de temperatura y presión, las velocidades de difusión de dos gases son inversamente proporcionales a sus raíces cuadradas de sus densidades." Podemos decir que cuando las velocidades son altas, las densidades son bajas y viceversa.
Show full summary Hide full summary

Similar

Pilas eléctricas
Ana Laura Moreno
Derivados de los hidrocarburos
Fernanda Villalobos
Propiedades de los líquidos.
Oscar Antonio Chavez Sanoja
Pilas eléctricas
Nuncy Gomez