SIMBOLOGÍA DE LAS FORMULAS DE MEDIDAS DE TENDENCIA CENTRAL

Description

A continuación encontraras unas fichas que te permitirán recordar las formulas para calcular las medidas de tendencia central, al igual que cada uno de los elementos que las componen.
viviantioquiad
Flashcards by viviantioquiad, updated more than 1 year ago
viviantioquiad
Created by viviantioquiad over 10 years ago
4048
0

Resource summary

Question Answer
FÓRMULA DE LA MEDIA
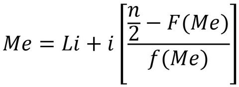
FÓRMULA DE LA MEDIANA
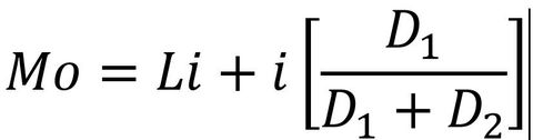
FÓRMULA DE LA MODA
MARCA DE CLASE
FRECUENCIA DE LA CLASE
FRECUENCIA ACUMULADA DE LA CLASE ANTERIOR A LA MEDIANA
FRECUENCIA ABSOLUTA DE LA CLASE DE LA MEDIANA
DIFERENCIA ENTRE LA FRECUENCIA MODAL Y LA PREMODAL
DIFERENCIA ENTRE LA FRECUENCIA MODAL Y LA POSTMODAL
AMPLITUD DEL INTERVALO
LIMITE INFERIOR DEL INTERVALO DE INTERES
TOTAL DE FRECUENCIAS
SÍMBOLO DE SUMATORIA
Show full summary Hide full summary

Similar

MAPA MENTAL ESTADISTICA
fidel451
Ecuaciones Estadísticas
Diego Santos
Cuestionarios de Probabilidad y Estadistica
Saddy Jair Aragon Pimentel
GRAFICOS EN ESTADISTICAS
Adriana Cortes Barbosa
Medidas Estadísticas Bivariantes de Regresión
Fernando Henao Castaño
Las ventajas y desventajas de la investigación cualitativa
Olga sofia Gonzalez
PROBLEMÁTICA AMBIENTAL
Edison Andres Pinto Forero
METODOS PROBABILISTICOS
duvan heavy
Dato Mayor y dato menor de un conjunto de datos
basilio gomez
3.11 PRUEBA DE HIPOTESIS PARA LA RELACION DE VARIANZAS
Sergio Alejandro Herbert Hernandez
MUESTREO Y DISTRIBUCIONES MUESTRALES
Yumary Lima Ruiz