POLIMEROS EXPO

Description

Solo llene esto porque no me dejaba enviarlo sin esto :(
merylatero
Flashcards by merylatero, updated more than 1 year ago
merylatero
Created by merylatero over 10 years ago
46
0

Resource summary

Question Answer
LOS POLÍMEROS Del griego <<poly>> y <<meros>>, es decir: muchos y parte/segmento respectivamente. " Que esta formado por muchas partes"
LA MATERIA La unión de cientos de miles de moléculas pequeñas (monómeros). Parecen fideos, otras tienen ramificaciones, otras se asemejan a las escaleras de mano y otras son como redes tridimensionales.
MOLÉCULAS DE TAMAÑO NORMAL MOLÉCULAS GIGANTES (POLÍMEROS)
CLASIFICACIÓN DE LOS POLÍMEROS Según su origen pueden ser...
POLÍMEROS NATURALES Son aquellos provenientes directamente del reino vegetal o animal, como la celulosa, almidón, proteínas, caucho natural (látex o hule), ácidos nucleicos, el ADN, entre otros.
EL ALGODÓN Formado por fibras de celulosas. LA SEDA Es una poliamida semejante al nylon.
LA LANA EL HULE DE LOS ÁRBOLES de hevea y de los arbustos de Guayule, son también polímeros naturales importantes.
POLÍMEROS SEMISINTÉTICOS Son obtenidos mediante la transformación de un polímero natural. El caucho vulcanizado: se produce al hacer reaccionar caucho con azufre, a altas temperaturas.
POLÍMEROS SINTÉTICOS La mayor parte de los polímeros que usamos en nuestra vida diaria son materiales sintéticos con propiedades y aplicaciones variadas. Los polímeros sintéticos provienen mayoritariamente del petróleo (mezcla de hidrocarburos); el 4 % de la producción mundial de petróleo se convierte en polímeros. Después de un proceso de cracking y reforming , se tienen moléculas simples, como etileno, benceno, etc., a partir de las que comenzará la síntesis del polímero.
Embalajes para productos alimenticios, fármacos y químicos Electrodomésticos
Juguetes Componentes automotrices
Herramientas Utensilios domésticos
CALIFICACIÓN SEGÚN SU ESTRUCTURA Un polímero puede clasificarse en LINEAL o RAMIFICADO dependiendo de su estructura. - El polietileno, componente de las bolsas de plástico, es un polímero lineal.
ej: El polietileno, componente de las bolsas de plástico, es un polímero lineal. El policloruro de vinilo o el polipropileno son polímeros ramificados, ya que hay grupos voluminosos fuera de la cadena principal:
SEGÚN SU COMPORTAMIENTO TÉRMICO POLÍMEROS TERMOPLÁSTICOS Pueden ser moldeados al calentarse.
POLÍMEROS TERMOESTABLES Son aquellos que al calentarse, se descomponen químicamente. La baquelita (polímero termoestable) se usa para fabricar asas para ollas.
SEGÚN LA UNIÓN DE SUS MONÓMEROS Cuando un polímero se forma por la unión de un único monómero.
COPOLÍMERO Cuando un polímero se forma por la unión de dos tipos de monómeros diferentes.
Los copolímeros son útiles porque combinan las propiedades de ambos monómeros en una misma estructura. Utilizado en la fabricación de suelas de zapatillas.
¿DÓNDE SE ENCUENTRAN LOS POLÍMEROS? Los polímeros están en nuestro cuerpo, en las proteínas y los ácidos nucleicos (ADN y ARN).
Lo que distingue a los polímeros de los materiales constituidos por moléculas de tamaño normal son sus propiedades mecánicas. LA CELULOSA Es el principal polímero constituyente de las plantas y los árboles. La madera, el papel y el algodón contienen celulosa.
EL ALMIDÓN Se encuentra en las plantas y forma parte importante de la dieta humana. Alimentos como el pan, el maíz y las papas se encuentran llenos de almidón.
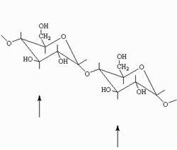
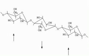
SIMILITUDES Y DIFERENCIAS ENTRE EL ALMIDÓN Y LA CELULOSA Ambos están constituidas por el mismo monómero, la glucosa. Lo único que los diferencia es su estructura.
ALMIDÓN CELULOSA
APLICACIONES DE POLÍMEROS ...
POLÍMEROS TERMOPLÁSTICOS POLIETENO (PE)
CLORURO DE POLIVINILO (PVC) POLIPROPILENO (PP)
POLIESTIRENO (PS) POLIACRILONITRILO (PAN)
ESTIRENO-ACRILONITRILO (SAN) ACRILONITRILO-BUTADIENO-ESTIRENO (ABS)
METACRILATO DE POLIMETILO (PMMA) POLITETRAFLUORETILENO (PTFE)
POLICLOROTRIFLUORETILENO (PCTFE) POLIAMIDAS (NAYLONS)
POLICARBONATOS (PC) POLIOXOMETILENO (POM)
POLÍMEROS TERMOESTABLES POLIÉSTER PET: alfombras, encordelado de neumáticos, y resinas de envase. PBT: conectores, enchufes, relés, componentes de alto voltaje, consolas terminales, timbres. Electrodomésticos, sillas, ventiladores o incluso como componente del casco de barcos pequeños.
POLIESTERES INSATURADOS Paneles de automóviles y para prótesis. Fabricar botes pequeños y componentes de baño. Para tubería, tanques y conductos FENOLICOS Interruptores eléctricos, en piezas “ligeras” en la industria del automóvil como piezas del sistema de transmisión, carcasa de motores, teléfonos, distribuidores de automóvil (DELCO). Se utilizan como botones, tiradores y/o laminados de maderas.
RESINAS EPOXI Como recubrimientos protectores y decorativos por su buena adherencia y gran resistencia mecánica y química. Forros para latas, baterías y recubrimientos de neumáticos. POLIURETANO Suelas de zapatos, partes de coches, fibras, espumas.
ELASTOMEROS CAUCHO NATURAL neumáticos para coches, tacones y suelas de zapato.
CAUCHO ESTIRENO-BUTADIENO (SBR) Llantas de neumáticos. CAUCHO DE NITRILO (NBR) Manguitos de alta resistencia para el flujo de aceites y disolventes en los componentes de los coches, mangueras para distribución de gasolina y aceite, tacones y suelas de calzado.
CAUCHO DE POLICLOROPRENO (NEOPRENO) Recubrimientos de cables, recubrimientos internos de tanques para productos químicos, mangueras y abrazaderas industriales, precintos y diafragmas de automóviles, correas y en forma de trajes para inmersión sub-acuática. CAUCHO DE SILICONA El sellado, junta de materiales, aislantes eléctricos, tubos de uso alimentario y médicos, y cebadores de bujías.
CUANDO LOS POLÍMEROS NO SE RECICLAN Hasta los años 90, casi 90% de los materiales poliméricos en uso comercial se enterraban en basureros, y alrededor de 10% se incineraban.
¿DE QUÉ DEPENDE EL RECICLAJE? Técnicamente, el reciclaje de polímeros incluye plantas de reciclaje y desperdicio post-consumidor.
¿QUÉ DIFICULTA EL RECICLAJE? - Diversidad de materiales poliméricos en uso. - La clasificación. No se pueden mezclar sin alterar significativamente las propiedades del nuevo material.
CLASIFICACIÓN DE POLÍMEROS EN EL RECICLAJE La Society of Plastics Industry desarrolló un código de identificación que se coloca en la mayoría de los productos de polímero.
LA POLIMERIZACIÓN La polimerización es una reacción química por la cual los monómeros forman enlaces químicos entre sí.
POLIMERIZACIÓN POR ADICCIÓN EJEMPLO Polietileno
POLIMERIZACIÓN POR CONDENSACIÓN EJEMPLO Poliamida
POLIMERIZACIÓN POR CRECIMIENTO DE CADENA EJEMPLO Polimerización aniónica para obtener poliestireno (PS)
POLIMERIZACIÓN POR CRECIMIENTO EN ETAPAS EJEMPLO Cloruro de tereftoilo y el etilenglicol para formar un PET.
¡GRACIAS! ...
Show full summary Hide full summary

Similar

ficha insertar
jisselmv_
Estudio de Mercado
dggr9980
11. teledetection
Jose Antonio Vazquez
16.ZZZZZ- EXAMEN
Jose Antonio Vazquez
Acalculia: clasificación, etiología y tratamiento clínico.
Valeria Segura C
EL CARBON
elen16varela
La Modernidad
Jimenale
Test ecuaciones cuadraticas
Fernando Delgado
Módulo 3: Montar un PC
Ignacio Talavera
Psicologia juridica: Que hacer y desarrollo
Henry Ramirez Oliveros
Química analítica
Yovani FR