Tema 1: Álgebra

Description

En estas fichas se puede encontrar de forma resumida los procedimientos para resolver ejercicios de álgebra con la calculadora.
Poto Gar
Flashcards by Poto Gar, updated more than 1 year ago
Poto Gar
Created by Poto Gar about 10 years ago
119
6

Resource summary

Question Answer
Factorización: No es resolver, sino simplificar para reducir a tèrminos semejantes
1. Factor común • Consiste en buscar lo que se repita en los tèrminos de un polinomio. Si son nùmeros, se debe sacar el máximo común divisor; en el caso de las letras, se toma la de menor exponente. • Cuando son paréntesis iguales se toma el de menor exponente.
2. Agrupamiento • Se agrupan de acuerdo a la cantidad de tèrminos en cantidades iguales, utilizando un paréntesis en cada grupo y un signo de + entre cada agrupación. • Se siguen los pasos del factor comùn.
3. Fórmula General • Se hacen en la calculadora, cuando vienen al cuadrado, con Modo 5 3. • Cuando vienen elevados a la 3, se hace con Modo 5 4.
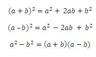
4. Fórmulas Notables
¿Cómo resolver factorización completa u otras operaciones algebraicas en la calculadora? 1. Se graba por cada letra un número impar. Entonces, se escribe el número, shift RCL y la letra en la que se guarda 2. Se hace la operación que indica el ejercicio usando las letras guardadas 3. El resultado debe ser igual al de la opción
¿Cómo se hace uno de los factores en la calculadora? 1. Grabar cada letra por un número impar grande. Ejemplos: 41, 43, 47, 53, 59 2. Se hace la operación del enunciado y se escribe el resultado 3. Se divide el resultado por cada opción del examen. La opción debe estar entre paréntesis.
¿Cómo resolver ecuaciones en la calculadora? 1. Se graban las opciones en cada letra de la calculadora 2. Se prueba cada uno de los lados de la ecuación con las opciones. 3. El resultado correcto será en que dé igual a ambos lados.
Problemas con Ecuaciones 1. Leer primero TODO el problema. 2. Sacar el dato más pequeño y ponerle la letra "x", si no se la dan. 3. Pasar las oraciones del problema a lenguaje algebraico. 4. Si es necesario resolver la ecuación.
Show full summary Hide full summary

Similar

Phrasal Verbs Ingles/español
alba mateos figueroa
Comparación de Platón con Aristóteles. 2º de Bachillerato. Filosofía
smael Montesinos
Factorización de Expresiones Algebráicas
maya velasquez
Ecuaciones de Segundo Grado
Diego Santos
Fichas de Inglés - Vocabulario Intermedio 2
maya velasquez
Choose the most suitable future form in each sentence
Margarita Beatriz Vicente Aparicio
Factorización de expresiones algebraicas_1
Juan Beltran
Vocabulario Inglés - Tema 2
tanianicolasizqu
Factorización de expresiones algebraicas_2
Juan Beltran
Introducción al Álgebra
Tulio Herrera
Examen Metabolismo
Diego Santos