Química Heterociclica

Description

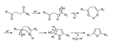
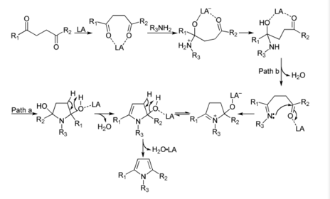
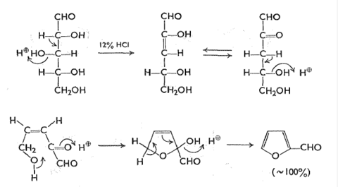
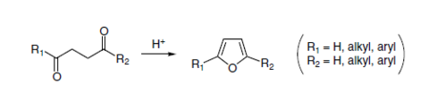
Reacciones de SFMP-II
proyectodeoxyris
Flashcards by proyectodeoxyris, updated more than 1 year ago
proyectodeoxyris
Created by proyectodeoxyris almost 10 years ago
72
0

Similar

CIENCIAS AUXILIARES DE QUÍMICA ORGÁNICA
Luis Carrillo
nomenclatura de la química inorgánica
Rafael Sanchez
Sistemas de nomenclatura (Stock, Tradicional y sistematica)
Zaid Garcia Gonzalez
Conceptos fundamentales de química orgánica.
sarai palque santos
Tabla Periodica
melinori96
SALES Y HALUROS DE ACILO
Gabriela Lafebre
TEST DEL ÁTOMO DEL CARBONO Y LA QUÍMICA ORGÁNICA
Camila Rozo
Química Orgánica, Ejercicios de identificación y Nomenclatura 3/3 (Teoría)
JORGE LEOBARDO PACHECO GAYOSSO
MACROMOLÉCULAS, POLÍMEROS Y MONÓMEROS
macrodiapositiva
Generalidades de la Biofisica
alexdario943129