null
US
Sign In
Sign Up for Free
Sign Up
We have detected that Javascript is not enabled in your browser. The dynamic nature of our site means that Javascript must be enabled to function properly. Please read our
terms and conditions
for more information.
Next up
Copy and Edit
You need to log in to complete this action!
Register for Free
4985426
1_Fichas de derivadas simples
Description
INTRODUCCIÓN A LAS MATEMÁTICAS MATEMATICAS Flashcards on 1_Fichas de derivadas simples, created by Francesc Tamarite Molina on 30/03/2016.
No tags specified
matemáticas aplicadas ccss - i
derivadas
derivadas simples
fichas de estudio
fichas
matematicas
introducción a las matemáticas
Flashcards by
Francesc Tamarite Molina
, updated more than 1 year ago
More
Less
Created by
Carlos Martínez
over 9 years ago
Copied by
Francesc Tamarite Molina
over 9 years ago
0
0
0
Resource summary
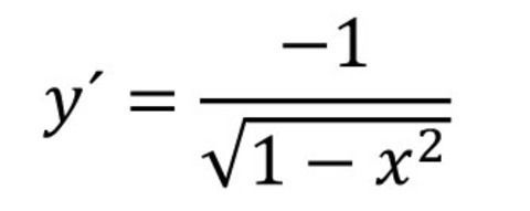
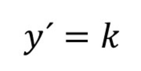
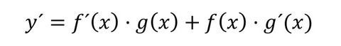
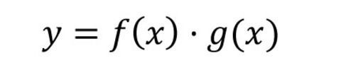
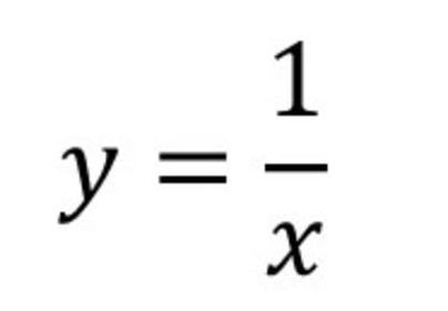
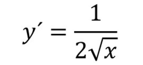
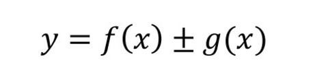
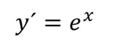
Question
Answer
Image:
edee549a-7da3-495f-b64d-c954b52bcb33 (image/jpg)
Image:
2968524a-a485-4fe1-bd9d-649c5bb27120 (image/jpg)
Image:
ec55c6fa-95ab-4b2c-9590-ce30db409b3d (image/jpg)
Image:
57bbb8fa-075f-4b7e-a363-81d2bca91457 (image/jpg)
Image:
f1296ee7-3b82-4691-8c51-47044a479026 (image/jpg)
Image:
d1762092-5e62-4f79-820f-cd57465343d0 (image/jpg)
Image:
eb826e8f-571f-4e5a-976c-d2b7d6fc791c (image/jpg)
Image:
788f4d52-f856-4ada-ad3f-9f307415bb31 (image/jpg)
Image:
d1a1734f-e96f-4499-aef5-20575b1a93b9 (image/jpg)
Image:
efe5e038-f490-4227-827f-77c7b1e4da00 (image/jpg)
Image:
f8e3f1ee-2883-41f5-9437-2bfada581c97 (image/jpg)
Image:
39064929-758a-4540-aaff-7967f1fe5aa0 (image/jpg)
Image:
87215771-dc80-4439-aa54-f4c4bb4ba68b (image/jpg)
Image:
b614f2f8-3b09-4d14-b2cc-a4ccd39a9fad (image/jpg)
Image:
0d4af074-c3e6-43b3-affd-aa51cefa00ee (image/jpg)
Image:
7c17de59-185a-417a-bec7-b8c5ae121d02 (image/jpg)
Image:
aaee38c9-15c3-4893-8070-1a9daad73da3 (image/jpg)
Image:
c1a6d13e-7d4d-4535-b72a-368ea8d9172c (image/jpg)
Image:
90033bdd-8a4b-4a6c-b7e9-f3fd3ac1cb65 (image/jpg)
Image:
459381c8-e600-4295-8f2d-2654887339e1 (image/jpg)
Image:
78b979de-bf2c-4757-a46c-57723b73d0dd (image/jpg)
Image:
e2689caa-5f68-4583-8eab-42684329e10a (image/jpg)
Image:
f33d146f-6b2a-4498-96dd-5c13a83077f5 (image/jpg)
Image:
1abd6c23-c5bf-4ce3-9e15-69085c009526 (image/jpg)
Image:
d5446bcb-ff46-4a61-9616-264ba31de690 (image/jpg)
Image:
45f57cda-2bc3-4485-9576-5053f1aed606 (image/jpg)
Image:
54cc7c62-5cb1-45be-9631-38055b77e040 (image/jpg)
Image:
10e0d9d2-a680-42df-a25e-108c98ac23d1 (image/jpg)
Image:
3fc9d2ec-39c7-4589-aa6d-dc472dd82f9b (image/jpg)
Image:
efe6868a-8355-4f11-b27a-af6e74febd37 (image/jpg)
Image:
d033eeb5-d625-4d13-a1c9-bee752935b93 (image/jpg)
Image:
8ac63656-8575-4fc6-9d06-fdcdf944dc83 (image/jpg)
Image:
a43eff5c-33fd-4f2f-b912-dcdf0bbaa3b0 (image/jpg)
Image:
10f18477-2da5-42ca-ad23-fc32c9398799 (image/jpg)
Image:
e1a18312-43c9-4aab-980e-2df73f6d913b (image/jpg)
Image:
d4672c34-e417-46bc-ad7f-e66d2c337679 (image/jpg)
Image:
33a66502-93ee-4090-b5a1-23354d88b33d (image/jpg)
Image:
048f8049-ffc7-489c-98df-c3bf5c26231e (image/jpg)
Image:
d2d237bf-5982-4118-b0af-1df75db71829 (image/jpg)
Image:
a3e63350-6851-4040-a9b3-06d01fbb9605 (image/jpg)
Image:
9f3e829d-dee5-427c-9b29-d89e139c1a75 (image/jpg)
Image:
111535da-282c-416a-9991-d20de9659cc1 (image/jpg)
Show full summary
Hide full summary
Want to create your own
Flashcards
for
free
with GoConqr?
Learn more
.
Similar
Ecuaciones (Primer Grado)
Diego Santos
Fórmulas Geométricas (Perímetros)
Diego Santos
7 Técnicas para Aprender Matemáticas
maya velasquez
Matemáticasen la VidaCotidiana
Diego Santos
FRACCIONES...
JL Cadenas
Ecuaciones Estadísticas
Diego Santos
FRACCIONES...
Ulises Yo
Factorización de expresiones algebraicas_1
Juan Beltran
CÁLCULOS con [ 3 · 5 · 7 ]
JL Cadenas
Preguntas del Pensamiento Matemático
Diego Santos
Factorización de Expresiones Algebráicas
maya velasquez
Browse Library