Proporcionalidad

Description

Definiciones básicas sobre la proporcionalidad
1º, 2º, 3º y 4º de Secundaria
Flashcards by 1º, 2º, 3º y 4º de Secundaria, updated more than 1 year ago
1º, 2º, 3º y 4º de Secundaria
Created by 1º, 2º, 3º y 4º de Secundaria over 9 years ago
72
2

Resource summary

Question Answer
RAZÓN La razón entre dos números a y b es el cociente entre dichos números: a/b La razón no tiene unidades a y b pueden ser enteros o decimales
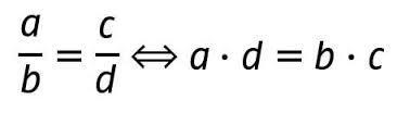
PROPORCIÓN Es la igualdad entre dos razones. a y d son los extremos, b y c los medios
MAGNITUD Es cualquier propiedad que se puede medir con un número. Se expresa mediante un número y una unidad: 5 cm (longitud), 5 kg (masa), 5 seg.(tiempo), 5 l (capacidad)...
MAGNITUDES DIRECTAMENTE PROPORCIONALES Son aquellas que al multiplicar o dividir una de ellas por un número distinto de cero, la otra queda también multiplicada o dividida por dicho número.
Show full summary Hide full summary

Similar

CÁLCULOS con [ 3 · 5 · 7 ]
JL Cadenas
Matrices y Determinantes
Diego Santos
Preguntas del Pensamiento Matemático
Diego Santos
Factorización de Expresiones Algebráicas
maya velasquez
Ensayo PSU Matemáticas
Diego Santos
Derivadas
erendira.aviles
Integrales Indefinidas
Rupert012
El número pi
angel tamayo
EL RINCÓN DE MATEMÁTICAS
dolorstodoli
Ecuaciones (Primer Grado)
Diego Santos
Fórmulas Geométricas (Perímetros)
Diego Santos