Fórmulas de derivación

Description

Reglas de derivación
Alejandra Davila
Flashcards by Alejandra Davila, updated more than 1 year ago
Alejandra Davila
Created by Alejandra Davila over 9 years ago
16
0

Resource summary

Question Answer
1. DERIVADA DE UNA CONSTANTE
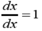
2. DERIVADA DE LA VARIABLE INDEPENDIENTE (FUNCIÓN IDÉNTICA O IDENTIDAD)
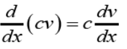
3. DERIVADA DE UNA CONSTANTE MULTIPLICADA POR UNA FUNCIÓN
4. DERIVADA DE SUMA O RESTA DE FUNCIONES
5. DERIVADA DE LA POTENCIA
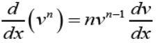
6. DERIVADA DE POTENCIA GENERALIZADA
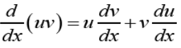
7. TEOREMA 1: REGLA DEL PRODUCTO
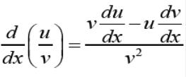
8. TEOREMA 2: REGLA DEL COCIENTE
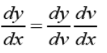
10. REGLA DE LA CADENA
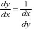
11. DERIVADA DE LA FUNCIÓN INVERSA
Show full summary Hide full summary

Similar

Léxico y Comunicación (Temas 5 y 6)
Carmen Young
Formación de Palabras
ZAPATA SALAZAR, Víctor Manuel 1AS
Derivaciones selectividad
Guillermo González del Campo
Derivación Griego II (10 primeras)
Guillermo González del Campo
Derivaciones Griego II (11-20)
Guillermo González del Campo
EL LATÍN (primera clase)
MARIA JOSÉ MARTIN GARCÍA MJMG
1º BACHILLERATO. La estructura de las palabras. Procedimientos de formación de palabras.
Miguel Cruz
Mecanismos de formación de palabras
Coro Ruiz Hernandez
Tipos de sufijos derivativos
Paola Chanabá Gutiérrez