Caída Libre y lanzamiento vertical

Description

Aprende sobre la caída libre y el lanzamiento vertical!
Neko Blade
Flashcards by Neko Blade, updated more than 1 year ago
Neko Blade
Created by Neko Blade over 9 years ago
74
0

Resource summary

Question Answer
Galileo Galilei establece que todos los cuerpos caerían con la misma velocidad, cuando estos se dejan caer desde la misma altura y en ausencia del aire. La única aceleración que actúa sobre los cuerpos que caen libremente es la GRAVEDAD. GRAVEDAD = 9.8 (sí el objeto se dirige hacia abajo) Ó GRAVEDAD = -9.8 (sí el objeto se dirige hacia arriba)
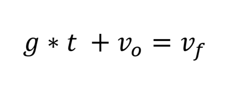
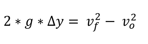
Fórmula 1: Fórmula 2:
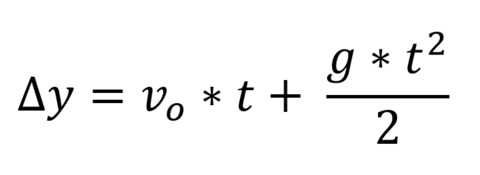
Fórmula 3: Créditos: Neko Blade
Show full summary Hide full summary

Similar

Teoria del Consumidor y del Mercado: Oferta, Demanda y Precio
Ani Kimori Rosas
Teoria de la Empresa: Produccion y Costos
Ani Kimori Rosas
Introducción a la Historia del Arte - Teoría y Metodología 1
maya velasquez
Examen Teórico Bioestadistica
gazquez
Teorías contemporáneas de la comunicación
Drusila Torres Zúñiga
Poder judicial
Rosa Flores
MRU MRUA CAIDA LIBRE TIRO VERTICAL Y PARABOLICO
Orlando Perusquia Velazquez
Acordes
almudenalm
Jean Piaget
A7_
Introducción a la Historia del Arte - Teoría y Metodología 2
maya velasquez
Teoría del conocimiento de Descartes o Cartesiano
cuentafalsademan