Fundamentos algebráicos

Description

Fundamentos algebraicos
Silvia MDL
Flashcards by Silvia MDL, updated more than 1 year ago
Silvia MDL
Created by Silvia MDL about 9 years ago
13
0

Resource summary

Question Answer
Indique cuál propiedad de los números reales está siendo utilizada: (x+5)+y=y+(x+5) propiedad conmutativa
Indique cuál propiedad de los números reales está siendo utilizada 5+(-5)=0 inverso aditivo
Está formada por constantes y variables asociadas por medio de sumas, restas, multiplicaciones y divisiones, exponenciación y extracción de raices y signos de agrupación. Es decir, es el resultado de aplicar las cuatro operaciones fundamentales a las variables y las constantes; también está permitido extraer raíces. Expresión algebraica
Son aquellos que tienen las mismas variables elevadas a idénticas potencias, es decir que difieren solamente en el coeficiente numérico términos semejantes
Puede ser expresada de la forma ax+b=0 tiene una única raiz, es decir, un único valor de x la hace verdadera Ecuación lineal en una variable
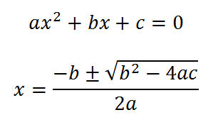
Puede ser expresada de la forma ecuación cuadrática en una variable
Show full summary Hide full summary

Similar

CÁLCULOS con [ 3 · 5 · 7 ]
JL Cadenas
Matrices y Determinantes
Diego Santos
Preguntas del Pensamiento Matemático
Diego Santos
Factorización de Expresiones Algebráicas
maya velasquez
Ensayo PSU Matemáticas
Diego Santos
Derivadas
erendira.aviles
Integrales Indefinidas
Rupert012
El número pi
angel tamayo
EL RINCÓN DE MATEMÁTICAS
dolorstodoli
Ecuaciones (Primer Grado)
Diego Santos
Fórmulas Geométricas (Perímetros)
Diego Santos