null
US
Sign In
Sign Up for Free
Sign Up
We have detected that Javascript is not enabled in your browser. The dynamic nature of our site means that Javascript must be enabled to function properly. Please read our
terms and conditions
for more information.
Next up
Copy and Edit
You need to log in to complete this action!
Register for Free
7111194
Suma y resta polinomios
Description
Ejemplos de suma y resta de polinomios
No tags specified
polinomios
operaciones con polinomios
suma de polinomios
resta de polinomios
matemáticas 3º eso
números complejos
Flashcards by
Ramón López-Sela
, updated more than 1 year ago
More
Less
Created by
Ramón López-Sela
almost 9 years ago
112
0
0
Resource summary
Question
Answer
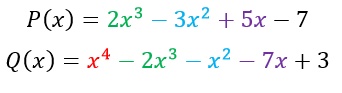
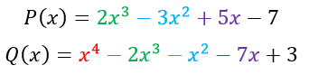
SUMA LOS SIGUIENTES POLINOMIOS
Image:
a4175741-07d6-40de-895b-1a828a556897.PNG (image/PNG)
SE SUMAN LOS TÉRMINOS SEMEJANTES
Image:
4ee67831-c42c-4ccf-be5e-a7057343456b.PNG (image/PNG)
AHORA RESTA
Image:
c092fc38-7a61-49d3-9922-24b6619fa954.PNG (image/PNG)
Image:
8169de4d-fb1f-4f33-a717-db0560ac4f90.PNG (image/PNG)
Show full summary
Hide full summary
Want to create your own
Flashcards
for
free
with GoConqr?
Learn more
.
Similar
OPERACIONES CON POLINOMIOS
Leticia Pérez Nicolás
POLINOMIOS
Ramón López-Sela
FACTORIZACION DE POLINOMIOS
Faber Garcia
Expresiones algebraicas
jennygomezcortes
suma y resta de monomios y polinomios
Elizabeth Rodrig5053
Factorización
Carlos Saravia
Vocabulario de Álgebra -Expresiones Algebraicas-
Mago Ballack
Polinomios aritméticos
vanyrymar
OPERACIONES ENTRE POLINOMIOS
Salome AVALO RESTREPO
POLINOMIOS
Encarna Giner Martí
POLINOMIOS
Mariela Molina
Browse Library