null
US
Sign In
Sign Up for Free
Sign Up
We have detected that Javascript is not enabled in your browser. The dynamic nature of our site means that Javascript must be enabled to function properly. Please read our
terms and conditions
for more information.
Next up
Copy and Edit
You need to log in to complete this action!
Register for Free
7111584
Raíces de un polinomio
Description
Para aclarar el concepto de raíz o cero de un polinomio de una variable.
No tags specified
raíces
polinomios
ceros
matemáticas 3º eso
números complejos
Flashcards by
Ramón López-Sela
, updated more than 1 year ago
More
Less
Created by
Ramón López-Sela
almost 9 years ago
48
0
0
Resource summary
Question
Answer
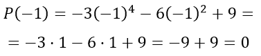
¿ES X = -1 RAÍZ DE?
Image:
810b05d7-732b-4b05-a02a-d90ab0f262f7.PNG (image/PNG)
Si porque P(-1)=0
Image:
fe96d0d0-00c6-4bd5-b406-7f029c534705.PNG (image/PNG)
Show full summary
Hide full summary
Want to create your own
Flashcards
for
free
with GoConqr?
Learn more
.
Similar
OPERACIONES CON POLINOMIOS
Leticia Pérez Nicolás
FACTORIZACION DE POLINOMIOS
Faber Garcia
Expresiones algebraicas
jennygomezcortes
POLINOMIOS
Ramón López-Sela
suma y resta de monomios y polinomios
Elizabeth Rodrig5053
Factorización
Carlos Saravia
Vocabulario de Álgebra -Expresiones Algebraicas-
Mago Ballack
Polinomios aritméticos
vanyrymar
OPERACIONES ENTRE POLINOMIOS
Salome AVALO RESTREPO
POTENCIAS Y RAÍCES
Jorge Alías Álvarez
Funciones Polinomiales
José William Montes Ocampo
Browse Library