CAMPO MAGNÉTICO (formulas)

Description

Flashcards on CAMPO MAGNÉTICO (formulas), created by María Galván Martínez on 25/01/2017.
María Galván Martínez
Flashcards by María Galván Martínez, updated more than 1 year ago
María Galván Martínez
Created by María Galván Martínez almost 9 years ago
369
0

Resource summary

Question Answer
CAMPO MAGNÉTICO *Se designa mediante la notación (B) y se mide en Tesla (T) 1T=1Ns/Cm=1N/Am=1Vs/m2
Fuerza Magnetica Fm=q'(v^B) q': carga electrica. v: velocidad. B: campo magnetico.
Fuerza magnética (2) Fm=|q'|·v·Bsen ()
FUERZA DE LORENTZ F= Fe + Fm= q'(E + v ^ B)
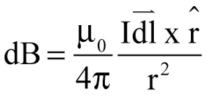
LEY DE BIOT-SAVART
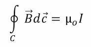
LEY DE AMPÈRE
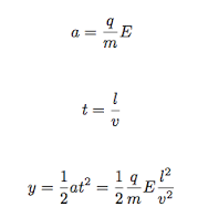
ACELERACION DE UNA CARGA EN EL CAMPO MAGNETICO.
Show full summary Hide full summary

Similar

LA ELECTRICIDAD
jordan andres pa
Generador Eléctrico
Susana Elizabeth Reyes Diaz
Magnetosfera
Rosylu Carrillo
Fuerza Magnética
Jaygew .
La Tierra
OSCAR MARTINEZ
Campo Magnético
Alan Linaldi
Energias
Angel Ortiz