Matematicas Para Negocios

Description

Flashcards on Matematicas Para Negocios , created by Heriberto Carrera on 04/02/2017.
Heriberto  Carrera
Flashcards by Heriberto Carrera, updated more than 1 year ago
Heriberto  Carrera
Created by Heriberto Carrera over 8 years ago
48
0

Resource summary

Question Answer
Funciones Es una regla que asigna a cada número de entrada exactamente un número de salida.
Funciones algebraicas Son aquellas que involucran operaciones de suma, resta, division, multiplicacioón, potenciación y radiación.
Funciones Irracionales Son aquellas en donde la variable independiente (x) aparece bajo el signo radical.
Funciones trancendentes Se encuentran las funcines exponenciales, logaritmicas y trignometricas.
Funciones Racionales Son las que se pueden expresarse como el cociente de dos funciones polinomiales.
Dominio Determinar el dominio de una funcion se deben tener en mente estas dos condiciones: cualquier expresion dentro de una raiz cuadrada no puede ser negativa y el denominador de cualquier fraccion no puede ser cero.
Operaciones con funciones
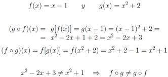
Composicion con funciones
Grafica de Funciones Permite representar de maneta geometrica ecuaciones con dos variables.
Limites Es el fundamento de cálculo.
Limites que no existen Si f(x) se aproxima a L conforme x tiende a 0 por la derecha, entonces se ecribe Lin x--> tiende a a f(x) = L.
Funciones especiales Para funciones racionales se tiene cuantro casos de limites especiales.
Limites indeterminados Puede surgir en la situacion en funciones racionales es el de obtener el resultado 0/0 .
Continuidad Una funcion f es continua en un número a si se satisfacen a las tres condiciones.
Derivada Cambio Instantanea de una funcion se combra la derivada de la función.
La derivada como una razón de cambio Es cuando h ---> 0
Ingreso y utilidad marginales Considere que los ingresos derivados de la venta de producto o servicios de una empresa. Si R (x) denotra el ingreso en dolares por la venta de x articulos el ingreso marginal se define como la derivada R ´(x)
Show full summary Hide full summary

Similar

FUNCION CUADRATICA
HECTOR ESPINOZA HERNANDEZ
Glosario de funciones
Isabel Morales
RELACIONES Y FUNCIONES
BRENDA GABRIELA CASTILLO
Dominio y rango de una función cuadrática
HECTOR ESPINOZA HERNANDEZ
Funciones Matematicas
Kevin Alvarez
Fichas de estudio
ANAVEL GUTIERREZ ORTIZ
EJERCICIOS
Martha Amaya
Examen de Matemáticas
Yanalta Santos Hernandez
FUNCIONES Y ECUACIONES
bmercadogalvan
Aplicaciones de las derivadas
Marta Arroyo
Límites
Cesar Morgado