Métodos de Integración y Aplicaciones de la integral

Description

fichas de repaso para que identifiques qué método sería adecuado utilizar para resolver la integral planteada o cómo deberá ser planteada la integral para calcular área entre curvas.
Eunice Ramos Galván
Flashcards by Eunice Ramos Galván, updated more than 1 year ago
Eunice Ramos Galván
Created by Eunice Ramos Galván over 8 years ago
724
0

Resource summary

Question Answer
Repaso de métodos de integración y Aplicaciones de la Integral Antes de darle vuelta a la ficha trata de identificar cuál método utilizarías o cómo plantearías la integral
Integral Definida Potencia par de coseno
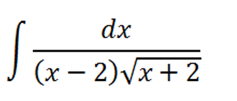
Integración por sustitución algebráica o racionalización
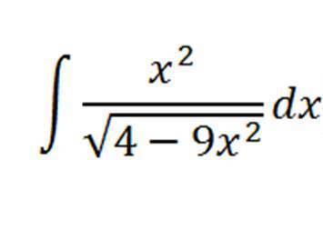
Sustitución Trigonométrica
Área entre curvas Plantear en la integral parábola f(x) menos recta g(x) f(x) - g(x)
Área entre curvas Techo=eje de las x Base g(x) es la parábola Plantear 0-(parábola)
Área entre curvas Puedes identificar cómo debe plantearse? Techo-base ¿Puedes identificar los límites?
Show full summary Hide full summary

Similar

Ecuaciones (Primer Grado)
Diego Santos
Fórmulas Geométricas (Perímetros)
Diego Santos
7 Técnicas para Aprender Matemáticas
maya velasquez
Matemáticasen la VidaCotidiana
Diego Santos
FRACCIONES...
JL Cadenas
FRACCIONES...
Ulises Yo
Funciones - Test
sofialeone
Factorización de expresiones algebraicas_1
Juan Beltran
CÁLCULOS con [ 3 · 5 · 7 ]
JL Cadenas
Preguntas del Pensamiento Matemático
Diego Santos
Factorización de Expresiones Algebráicas
maya velasquez