La Estadística

Description

Fichas educativas para repasar un poco la teoría de la estadística.
Yadir Vega
Flashcards by Yadir Vega, updated more than 1 year ago
Yadir Vega
Created by Yadir Vega over 8 years ago
135
0

Resource summary

Question Answer
ESTADÍSTICA La estadística: Ciencia que utiliza conjuntos de datos numéricos para obtener, a partir de ellos, inferencias basadas en el cálculo de probabilidades.
Un poco de historia: ¿Por qué la estadística? ¿Usaron la estadística Galileo, Newton y Einstein? En ciertas ciencias (Biología, Ciencias Humanas, algunos campos de la Física, ...) aparece el concepto de experimento aleatorio (experimento que repetido en las "mismas condiciones" no produce el mismo resultado) y asociado al mismo el de variable aleatoria.
Los objetivos de la investigación científica se pueden entender, de un modo muy general, en términos de encontrar y describir las variables de interés y las relaciones entre ellas, para el problema en estudio. Estadística descriptiva: Trata de describir las variables aleatorias en las "muestras".
Estadística inductiva o inferencial: Trata de la generalización hacia las poblaciones de los resultados obtenidos en las muestras y de las condiciones bajo las cuales estas conclusiones son válidas. Un ejemplo de una gráfica que nos muestra datos estadísticos.
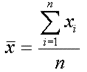
Medidas de tendencia central: Al describir grupos de observaciones, con frecuencia se desea describir el grupo con un solo número. Media aritmética:
Mediana: Otra medida de tendencia central que se utiliza con mucha frecuencia es la mediana, que es el valor situado en medio en un conjunto de observaciones ordenadas por magnitud. Moda: Otra medida de tendencia central es la moda. La moda es el valor que ocurre con mas frecuencia en un conjunto de observaciones.
Centro de amplitud: Es el valor que queda en medio de los valores mínimo y máximo. Media geométrica:
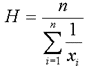
Media armónica: Es el inverso de la media aritmética de los inversos de las observaciones. Media ponderada: En ciertas circunstancias no todas las observaciones tienen igual peso.
Show full summary Hide full summary

Similar

BIOESTADISTICA
Ad Card
Funciones - Test
sofialeone
CÁLCULOS con [ 3 · 5 · 7 ]
JL Cadenas
Matrices y Determinantes
Diego Santos
Preguntas del Pensamiento Matemático
Diego Santos
Factorización de Expresiones Algebráicas
maya velasquez
Ensayo PSU Matemáticas
Diego Santos
Derivadas
erendira.aviles
Integrales Indefinidas
Rupert012
El número pi
angel tamayo
EL RINCÓN DE MATEMÁTICAS
dolorstodoli