PROBABILIDAD Y ESTADÍSTICA

Description

Medidas de posición y de tendencia central.
J. Carmen Calderón
Flashcards by J. Carmen Calderón, updated more than 1 year ago
J. Carmen Calderón
Created by J. Carmen Calderón over 8 years ago
26
0

Resource summary

Question Answer
Medidas de tendencia central Media Es el promedio de los datos.
Medidas de tendencia central Mediana Es el valor que tiene igual número de datos mayores que menores, después de ordenar los datos de menor a mayor. El número de la mitad en un conjunto de números.
Medidas de tendencia central Moda Es la observación que se presenta con mayor frecuencia.
Medidas de dispersión Desviación típica o estándar Nos indica que tan separados se colocan los datos unos de otros. Es la raiz cuadrada positiva de la varianza.
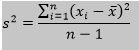
Medidas de dispersión Varianza muestral. La varianza contiene la misma información que la desviación estándar, pero su valor está dado en unidades cuadradas.
Medidas de posición Percentiles Valor del elemento que divide una serie de datos en cien grupos de igual valor o en intervalos iguales.
Medidas de posición Cuartiles Los cuartiles dividen en cuatro partes las observaciones, el primer cuartil ( Q_1) es un valor que deja por debajo de el al 25% y por encima el 75% de las observaciones. El cuartil 2( Q_2) es la mediana. El cuartil 3 (Q_3) deja por debajo el 75% y por arriba el 25% de las observaciones.
Medidas de posición En el ámbito de la estadística descriptiva se conoce como medidas de posición a aquellas entidades numéricas utilizadas para señalar la posición que ocupa un dato determinado, en relación con el resto de los datos numéricos, permitiendo así conocer otros puntos propios de la distribución de datos, que no son inherentes a los valores centrales. Entre las medidas de posición mas comunes se encuentran los deciles, percentiles y cuartiles.
Medidas de posición Deciles Por su parte los Deciles constituyen otro tipo de Medidas de Posición, conformados por ciertos valores que dividen la sucesión de datos que han sido ordenadas en diez partes, que son equitativas porcentualmente hablando. Ellos se denotan de la siguiente forma: D1, D2, D3….D9, aun cuando se leen “primer decil”, “cuarto decil”, etc. De acuerdo a las fuentes estadísticas son utilizados sobre todo para calcular el aprovechamiento académico.
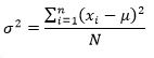
Medidas de dispersión Varianza poblacional. Cuando la población es finita y está formada por N valores la varianza poblacional puede dfinirse como:
Experimento aleatorio Un experimento aleatorio es aquel que proporciona diferentes resultados aun cuando se repita siempre de la misma manera.
Espacio muestral El conjunto de los posibles resultados de un experimento aleatorio recibe el nombre de espacio muestral del experimento
Evento Un evento es un subconjunto del espacio muestral de un experimento aleatorio.
Eventos mutuamente excluyentes Dos eventos E1 Y E2 tales que E1 ᴒ E2=0, se dice que son mutuamente excluyentes.
Fórmula de probabilidad para conjuntos equiprobables Probabilidad= casos favorables/casos posibles
Rango intercuartílico. En estadística descriptiva, se le llama rango intercuartílico o rango intercuartil, a la diferencia entre el tercer y el primer cuartil de una distribución. Es una medida de la dispersión estadística.
Show full summary Hide full summary

Similar

la geometría y el diseño de modas
yineth Becerra
HISTORIA DE LA MODA
laura juanna
MODA
RosyAlonzo
Estadística para Ciencias Sociales
Mariana Rosas Godínez
Test de Moda & Style
Cristian Peñuela
Probabilidad y Estadistica
Yessnia Vianey
Medidas de tendencia central
jojabravo
Medidas de tendencia central (Datos no agrupados)
Nancy Chillán
Moda,mediana,media
Sophia Ceron jimenez
Inferencia Estadística
Alex Hg
evaluacion de estadistica
andreinitha1695