Dinámica de sistemas de partículas

Description

Universitario Física (Dinámica de sistemas de partículas) Flashcards on Dinámica de sistemas de partículas, created by Victor Rodriguez on 01/06/2014.
Victor Rodriguez
Flashcards by Victor Rodriguez, updated more than 1 year ago
Victor Rodriguez
Created by Victor Rodriguez over 11 years ago
36
0

Resource summary

Question Answer
Cantidad de movimiento y teorema de la cantidad de movimiento
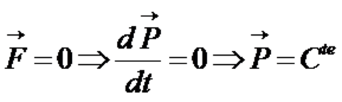
Conservación de la cantidad de movimiento
Primer teorema de König
Impulso mecánico y teorema del impulso mecánico
Momento cinético y teorema del momento cinético
Energía cinética de un sistema de partículas
Teorema de la energía cinética
Teorema de conservación de la energía mecánica
Tipos de choques atendiendo a la variación de la energía cinética de los cuerpos Elástico: Aquel en el que la energía cinética del sistema se conserva. Los cuerpos, después del choque recobran su forma primitiva Inelástico: En este caso, la deformación sufrida durante el choque es permanente y la energía cinética no se conserva
Tipos de choques atendiendo a la dirección Central: Si el punto de contacto y los c. de m. de los cuerpos están alineados. Este choque se subdivide, a su vez en: - Frontal: Si las velocidades de las dos partículas antes del choque están dirigidas a lo largo de la normal a las superficies en el punto de contacto (línea de impacto). - Oblicuo: Si las velocidades de las partículas antes del choque no tienen la dirección señalada. - No central: Si no se cumple la alineación que requiere el choque central.
Análisis mecánico del choque:Las herramientas habituales - Teorema de conservación de la cantidad de movimiento. - Teorema de conservación del momento cinético. - Conservación de la energía cinética. - Empleo del dato del coeficiente de restitución.
Choque elástico frontal
Choque perfectamente inelástico
Choque parcialmente inelástico
Show full summary Hide full summary

Similar

Cinemática
maya velasquez
CUESTIONARIO DE FÍSICA
amam3105
INTRODUCCIÓN A LA FÍSICA
moises silva daza
La Ley de la Gravedad
maya velasquez
Física: Conceptos Básicos
maya velasquez
Diferencias entre la Química y Física
maya velasquez
Segunda Ley de la Termodinámica
Virginia León
Métodos gráficos para sistemas de fuerzas
Andres Alberto Dranuta
Método científico
Carlos Eduardo Solano González
FUENTES DE ENERGÍA
Alba Guzman
Efecto Fotoeléctrico
Katharine Poloche