Potencial Electrico

Description

Universitario Física (Potencial Electrico) Flashcards on Potencial Electrico, created by Victor Rodriguez on 03/06/2014.
Victor Rodriguez
Flashcards by Victor Rodriguez, updated more than 1 year ago
Victor Rodriguez
Created by Victor Rodriguez over 11 years ago
40
1

Resource summary

Question Answer
Ecuacion potencial electrico
Unidades
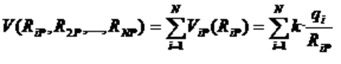
Principio de superposicion
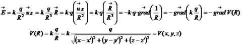
Potencial originado por un cuerpo cargado
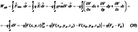
Diferencia de potencial entre dos puntos
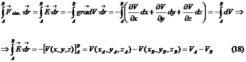
Trayectoria sobre la que se calcula el trabajo realizado por una fuerza es cerrada
Show full summary Hide full summary

Similar

Cinemática
maya velasquez
CUESTIONARIO DE FÍSICA
amam3105
La Ley de la Gravedad
maya velasquez
Física: Conceptos Básicos
maya velasquez
Diferencias entre la Química y Física
maya velasquez
Segunda Ley de la Termodinámica
Virginia León
INTRODUCCIÓN A LA FÍSICA
moises silva daza
Métodos gráficos para sistemas de fuerzas
Andres Alberto Dranuta
Método científico
Carlos Eduardo Solano González
FUENTES DE ENERGÍA
Alba Guzman
Efecto Fotoeléctrico
Katharine Poloche