Campo magnético

Description

Universitario Física (Campo magnético) Flashcards on Campo magnético, created by Victor Rodriguez on 03/06/2014.
Victor Rodriguez
Flashcards by Victor Rodriguez, updated more than 1 year ago
Victor Rodriguez
Created by Victor Rodriguez over 11 years ago
128
0

Resource summary

Question Answer
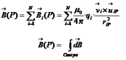
Ecuación de campo magnético
Principio de superposición del campo magnético
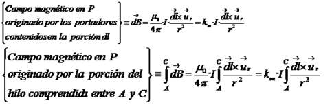
Ley de Biot- Savart
Ley de Faraday-Lenz: Experimentos -Movimiento relativo de imán y espira (corriente inducida). -Movimiento relativo de imán y bobina. -Movimiento relativo de dos circuitos con sendas bobinas, una con batería y otra sin ella. -Apertura y cierre de un circuito con batería próximo a otro sin batería. -Una bobina en circuito abierto sometida a las experiencias de los casos B,C y D anteriores.
Ley de Faraday La f.e.m. inducida en un circuito es numéricamente igual a la variación temporal del flujo magnético que atraviesa el circuito
la Ley de Lenz La f.e.m. inducida es tal que esta tiende a producir una corriente la cual crea un flujo magnético que se opone al cambio en el flujo magnético a través del circuito que se está intentando producir
la Ley de Faraday-Lenz
Show full summary Hide full summary

Similar

Cinemática
maya velasquez
CUESTIONARIO DE FÍSICA
amam3105
Diferencias entre la Química y Física
maya velasquez
La Ley de la Gravedad
maya velasquez
Física: Conceptos Básicos
maya velasquez
Segunda Ley de la Termodinámica
Virginia León
INTRODUCCIÓN A LA FÍSICA
moises silva daza
Métodos gráficos para sistemas de fuerzas
Andres Alberto Dranuta
Método científico
Carlos Eduardo Solano González
FUENTES DE ENERGÍA
Alba Guzman
Efecto Fotoeléctrico
Katharine Poloche