Cinetica quimica

Description

Universitario Química (Cinetica quimica) Flashcards on Cinetica quimica, created by Victor Rodriguez on 11/06/2014.
Victor Rodriguez
Flashcards by Victor Rodriguez, updated more than 1 year ago
Victor Rodriguez
Created by Victor Rodriguez over 11 years ago
43
0

Resource summary

Question Answer
Velocidad de una reaccion
Condición de balance estequiometrico
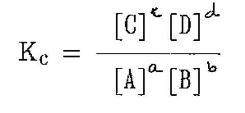
Ecuación de velocidad
Ecuacion de la velocidad
Show full summary Hide full summary

Similar

CIENCIAS AUXILIARES DE QUÍMICA ORGÁNICA
Luis Carrillo
QUÍMICA, PASAPALABRA...
JL Cadenas
Diferencias entre la Química y Física
maya velasquez
Sistema Internacional de Unidades (SI)
Raúl Fox
Apuntes sobre Modelos Atómicos - Rutherford y Bohr
Raúl Fox
Apuntes sobre Modelos Atómicos - Dalton y Thomson
Raúl Fox
Estructura atómica
Elvy5
CLASIFICACIÓN DE LA QUIMICA
NATALI GUSQUI
Elementos de la Tabla Periódica
Roberto Jerónimo
Nomenclatura química (Sistemas Stoke y Estequiométrico)
Marcela Fallas
TEST MATERIAL Y EQUIPO DE LABORATORIO
JORGE LEOBARDO PACHECO GAYOSSO