|
|
Created by Valerie Shepherd
about 11 years ago
|
|
| Question | Answer |
| What are the equations for cos(2A)? |
Image:
desktop_cos2A (image/jpg)
|
| What is the equation for sin(2A)? |
Image:
desktop_sin2A (image/jpg)
|
| What is the equation for tan(2A)? |
Image:
desktop_tan2A (image/jpg)
|
| What is the general equation for eccentricity? |
Image:
e.JPG (image/JPG)
|
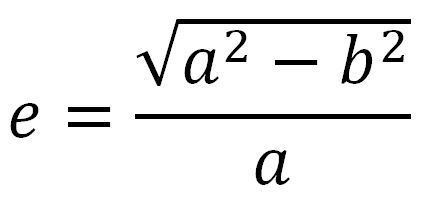
| What is the equation for the eccentricity of an ellipse? |
Image:
Ellipse.JPG (image/JPG)
|
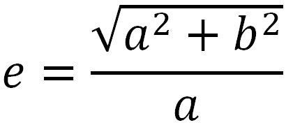
| What is the equation for the eccentricity of a hyperbola? |
Image:
Hyperbola.JPG (image/JPG)
|
| How are parabolas, hyperbolas and ellipses defined in terms of eccentricity? | Parabola: e=1 Hyperbola: e>1 Ellipse: e<1 |
| What is the equation and graph for the 'mum' of the parabolic family? |
Image:
Mum3 (image/jpg)
|
| What is the equation and graph for the 'sister' of the parabolic family? |
Image:
Sister3 (image/jpg)
|
| What is the equation and graph for the 'dad' of the parabolic family? |
Image:
Dad3 (image/jpg)
|
| What is the equation and graph for the 'brother' of the parabolic family? |
Image:
Brother3 (image/jpg)
|
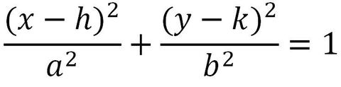
| What is the general equation for an ellipse? |
Image:
Ellipse.JPG (image/JPG)
|
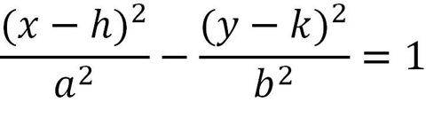
| What is the general equation for a hyperbola? |
Image:
Hyperbola.JPG (image/JPG)
|
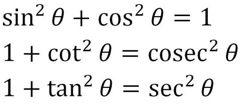
| What is the Pythagorean identity and its common derivations? |
Image:
Trig.JPG (image/JPG)
|
Want to create your own Flashcards for free with GoConqr? Learn more.