A-Level Physics OCR - Equations

Description

Set of physics equations that are not in the A-Level OCR formula book, but you still need to know. Used for both A-Level and AS-Level.
Adam Wrigley
Flashcards by Adam Wrigley, updated more than 1 year ago More Less
Kieran C
Created by Kieran C over 8 years ago
Adam Wrigley
Copied by Adam Wrigley almost 8 years ago
11
2

Resource summary

Question Answer
Power Of A Lens In Dioptres P=1/f Power (d) = 1/focal length (m)
Magnification Of A Lens m=v/u m = Image Height / Object Height
Resistance V = I x R OR R = V/I = Resistance = Voltage/Current
Conductance G = I/V = Conductance = Current/Voltage OR G = 1/R = Conductance = 1/Resistance
Power P = VI = Power = Voltage x Current OR V = P/I = Voltage = Power/Current
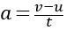
Acceleration a = (Final Velocity - Initial Velocity) / Time v and u is in meters per second t is in seconds
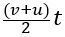
Average Velocity
Displacment Displacement = Average Velocity x time (s) OR
Newtons 2nd Law When mass is constant: F = ma Where F is the resultant force When mass isn't constant: F = ΔP/Δt Where p is momentum and t is time
Kinetic Energy
Gravitational Potential Energy GPE = mgh GPE = Mass x Gravitaional Field Strength x Height
Energy of a Photon E = hc/λ OR energy = (Plancks constant X speed of light) / wavelength in meters
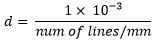
Slit Seperation
Show full summary Hide full summary

Similar

Waves
kate.siena
OCR Physics P4 Revision
Dan Allibone
OCR Physics P2 revision cards
Alex Howard
P2 Quiz
Leah Firmstone
GCSE Physics P7 (OCR) - Light, Telescopes, and Images
Josh Price
GCSE Physics P7 (OCR) - Astronomy
Josh Price
GCSE Physics P7 (OCR) - Sun, and Stars
Josh Price
GCSE Physics P7 (OCR) - Mapping the Universe
Josh Price
GCSE Physics P7 (OCR) - Astronomy Community
Josh Price
Forces and their effects
kate.siena
P1 - The Earth in the Universe
franimal