Quantum Physics and Special Relativity - Term 4, Year 12

Description

Physics (Term 4 - Quantum Physics and Special Relativity) Flashcards on Quantum Physics and Special Relativity - Term 4, Year 12, created by Valerie Shepherd on 23/09/2014.
Valerie Shepherd
Flashcards by Valerie Shepherd, updated more than 1 year ago
Valerie Shepherd
Created by Valerie Shepherd about 11 years ago
50
4

Resource summary

Question Answer
What are the four fundamental forces? 1. Electromagnetic Force 2. Strong Nuclear Force 3. Weak Nuclear Force 4. Gravity
What is the relationship between atoms and the following fundamental forces? (a) Electromagnetic Force (b) Strong Nuclear Force (c) Weak Nuclear Force (a) Holds the electrons within the atom. (b) Binds the nucleus together (c) Responsible for radioactive decay
What occurs as a black body is heated? The frequency and intensity of the light emitted increases.
Define: Quanta Energy packets
Define: Photon A quanta of light
What are the equations for the energy of a photon?
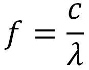
What is the equation for the frequency of a photon?
What must be exceeded for an electron to be ejected from a metal surface when illuminated? The frequency of the photon must exceed the threshold frequency of the metal
Once a photocurrent is registered, what occurs when the following occur? (a) The light intensity is increased (b) The light frequency is increased (a) The current increases (b) The kinetic energy of ejected electrons increases
How is electron kinetic energy measured? A negative potential is applied to a collector plate which repels electrons and eventually becomes large enough to stop them (this is called the cut-off voltage or the stopping potential).
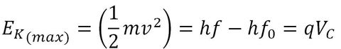
What are the equations for the kinetic energy of an ejected electron?
What are the equations for the momentum of a scattered photon?
Scattered possess ______ energy and _______ wavelengths compared to the incident photon. (a) Reduced (b) Longer
Define: Ground state The lowest orbital level (n=1) and therefore the orbital with the lowest energy.
Define: Excitation If energy is added to an atom (through particle bombardment, photons, etc.) then the electrons absorb definite quanta and must go to a higher energy orbital. When it does this it is said to be in a state of excitation.
Define: Ionisation energy If an atom absorbs too much energy then the outermost electron will be promoted completely away from the attraction of the nucleus and will be lost - this is called the ionisation energy.
What is the ionisation energy for Hydrogen?
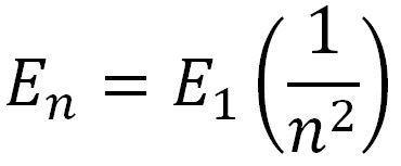
What is the equation for the energy of a quantum orbital?
Define: Inertial Reference Frame A frame in which Newton's First Law applies
What is Newton's Law of Inertia? A body at rest or in constant motion will remain as such unless an external and unbalanced force is acted upon it.
Define: Relativity Principle The laws of physics are the same in all inertial frames assuming that lengths, masses and time are the same in each frame.
What are the two postulates of special relativity? 1. The laws of physics have the same form in all inertial frames. 2. Light propagates through empty space with a definite speed (c) independent of the speed of the source or observer.
In relativity, how is simultaneity defined? Two events in a reference frame are simultaneous if light signals from the events reach an observer located halfway between the events at the same time.
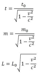
What are the equations for time, mass and length dilation?
Show full summary Hide full summary

Similar

AQA Physics P1 Quiz
Bella Statham
GCSE AQA Physics - Unit 3
James Jolliffe
Using GoConqr to study science
Sarah Egan
GCSE AQA Physics 1 Energy & Efficiency
Lilac Potato
Waves
kate.siena
Forces and their effects
kate.siena
Forces and motion
Catarina Borges
Junior Cert Physics formulas
Sarah Egan
OCR Physics P4 Revision
Dan Allibone
P2 Radioactivity and Stars
dfreeman
Physics 1A - Energy
Zaki Rizvi